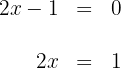
Inclinação da reta tangente
A inclinação da reta tangente a uma curva em um ponto é igual à derivada da função nesse ponto.

Exemplo: Determine a inclinação da reta à curva
para 
1Calculamos a derivada
2 A inclinação que estamos buscando é:
Equação da reta tangente
A reta tangente a uma curva em um dado ponto é a reta que passa pelo ponto
e cuja inclinação é igual a
. Sua equação é dada por:
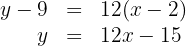
Exemplo: Encontre a reta tangente à curva
em 
1 Calculamos o ponto do gráfico da curva por onde passa a reta tangente:
2 Calculamos a inclinação da reta tangente em 
3 A equação da reta tangente é
Exercícios propostos
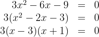
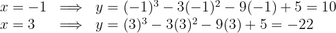
Determine os pontos da curva
onde a reta tangente é paralela ao eixo 
1 Calculamos a derivada da curva:

2 O eixo
tem inclinação zero. A inclinação da reta tangente é igual à derivada e retas paralelas têm a mesma inclinação.

portanto, valor de
é: 
3 Calculamos o valor 

O ponto que buscamos é: 
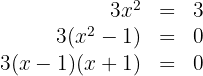
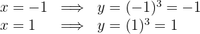
Calcule os pontos a tangente da curva
fica paralela ao eixo
.
1 Calculamos a derivada da curva

2 O eixo
tem inclinação zero, a inclinação da reta tangente é igual à derivada e retas paralelas têm a mesma inclinação.

portanto, os valores de
são
e 
3 Calculamos os valores 

Os pontos buscados são
e 
Foi traçada uma reta tangente à curva
, que tem como inclinação
e passa pelo ponto
. Encontre o ponto de tangência.
1 Calculamos a derivada da curva

2 Como a inclinação é
, igualamos à derivada e encontramos os valores dos pontos de tangência com inclinação três

portanto os valores de
são
e 
3 Calculamos os valores de 

Os pontos buscados são
e 
4 A equação da reta tangente com ponto de tangência
é

que não passa pelo ponto
.
A equação da reta tangente com ponto de tangência
é:

que passa pelo ponto
.
Assim, o ponto de tangência solicitado é
.
Encontre a reta tangente à curva
em
.
1 Calculamos a derivada da curva

2 Como a inclinação é
, substituímos
e encontramos o valor da inclinação 
3 Calculamos o valor de
onde passa a reta tangente

O ponto procurado é 
4 A equação da reta tangente com ponto de tangência
é:

Encontre os pontos da curva
, em que a tangente forma um ângulo de
com o eixo
.
1 Calculamos a derivada da curva:

2 A inclinação é igual a
. Igualamos esta inclinação com a derivada e encontramos os valores dos pontos de tangência com inclinação três:

portanto os valores de
são
e 
3 Calculamos os valores da segunda coordenada dos pontos de tangência

Os pontos procurados são
e 
Considerando a função
, ache o ângulo que forma a reta tangente do gráfica da função
na origem, com o eixo de abscissas.
1 Calculamos a derivada da curva

2 A inclinação na origem é
. Portanto, o ângulo formado entre a reta tangente e o eixo das abscissas é:

Considerando a função
, encontre o ângulo que forma a reta tangente do gráfico da função
na origem com o eixo de abscissas.
1 Calculamos a derivada da função

2 A inclinação no ponto de origem é
. Portanto, o ângulo formado entre a reta tangente e o eixo das abscissas é:

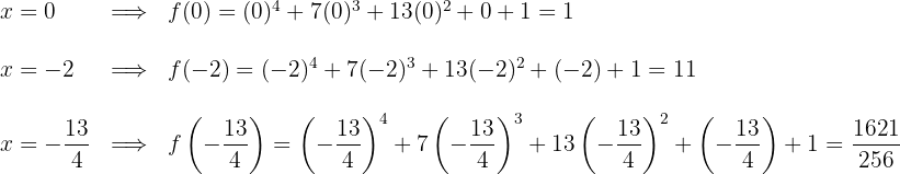
Determine os coeficientes da equação
, sabendo que seu gráfico passa por
e por
, e no último ponto, sua tangente tem inclinação
.
1 Calculamos a derivada da curva

2 Substituindo os dois pontos por onde passa o gráfico na equação dada e a inclinação da reta tangente, obtemos o seguinte sistema de três equações:

3 O sistema de equações

tem como solução 
Determine os coeficientes da equação
, sabendo que seu gráfico passa por
e por
, sendo a reta tangente à curva no ponto de abcissa
paralela à bissetriz do primeiro quadrante. Encontre o valor numérico dos coeficientes da equação.
1 Calculamos a derivada da curva

2 Substituindo os dois pontos por onde passa o gráfico na equação dada e a inclinação da reta tangente que é
, obtemos o seguinte sistema de três equações

3 O sistema de equações

tem como solução 
Determine os coeficientes da equação
, sabendo que seu gráfico passa por
e por
, sendo a reta tangente à curva nos pontos de abcissas
e
paralela ao eixo das abcissas. Encontre o valor numérico dos coeficientes da equação.
1 Calculamos a derivada da curva

2 Substituindo os dois pontos por onde passa o gráfico na equação dada e a inclinação da reta tangente que é
, obtemos o seguinte sistema de quatro equações

3 O sistema de equações

tem como solução 
Resumir com IA:








