Bem-vindo à nossa página dedicada aos exercícios de máximos e mínimos!
Neste espaço, vamos explorar o fascinante campo da otimização matemática e apresentar os conhecimentos e estratégias necessários para resolver problemas que envolvem a identificação de valores máximos e mínimos de funções.
Os problemas de máximos e mínimos aparecem em diversas áreas do conhecimento, como a física, a economia, a engenharia e muitas outras. Nesses desafios, o objetivo é encontrar os pontos críticos de uma função, ou seja, os pontos em que a derivada é igual a zero, e analisar se eles correspondem a máximos ou mínimos locais.
Aqui, você vai aprender a reconhecer as principais características de uma função que ajudam a identificar seus extremos. Para isso, vamos apresentar uma variedade de exercícios resolvidos usando o critério da segunda derivada, uma ferramenta importante no estudo do comportamento das funções.
Nosso objetivo é ajudar você a desenvolver a habilidade de encontrar soluções ótimas, fortalecer seu raciocínio lógico e analítico, e aumentar a sua confiança na matemática. Aproveite e aprenda com os diferentes exercícios e com as explicações claras e detalhadas que preparamos especialmente para você.
Torne-se um verdadeiro especialista em calcular máximos e mínimos de funções!
Utilize o critério da segunda derivada para calcular os máximos e mínimos locais dos exercícios de funções a seguir:

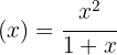
Vamos começar encontrando a primeira e a segunda derivada da função dada:

Agora, vamos encontrar os pontos críticos
resolvendo a equação
, ou seja,
. As soluções da equação são:
.
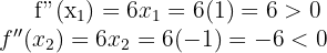
Em seguida, vamos avaliar
nos pontos críticos
e determinar se
ou 

Portanto, pelo critério da segunda derivada, a função
possui um mínimo local em
e um máximo local em
. Os respectivos valores da função são:

A figura a seguir mostra o gráfico da função proposta.


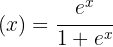
Vamos começar encontrando a primeira e segunda derivada da função:

Agora, vamos encontrar os pontos críticos
resolvendo a equação
, ou seja
. As soluções da equação são:
.
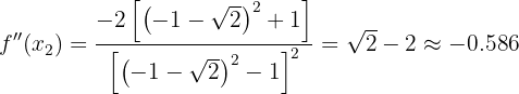
Em seguida, vamos avaliar
em seus pontos críticos
e determinar se
ou 

Portanto, pelo critério da segunda derivada, a função
tem um máximo local em
e um mínimo local em
. Os respectivos valores da função são:

A figura a seguir mostra o gráfico da função
proposta.


Vamos começar encontrando a primeira e a segunda derivada da função dada:

Agora, vamos encontrar os pontos críticos
usando o método da equação.
, es decir
. Os resultados são:
.
Finalmente, vamos avaliar
nos pontos críticos
e determinar se
ou 
E, de acordo com o criterio da segunda derivada, a função
tem um máximo local em
e de dois locais mínimos em
e
. Os valores que correspondem à função são:

A figura abaixo mostra o gráfico da função
.


Primeiro, vamos encontrar a primeira e a segunda derivada da função:



Agora, vamos encontrar o ponto crítico
através da solução da equação
, ou seja,
, cuja solução é:
.
Finalmente, vamos avaliar
em seu ponto crítico
e determinar se
ou 

Assim, pelo criterio da segunda derivada, a função
tem um mínimo local em:
. O valor respectivo da função é:


A figura a seguir mostra o gráfico da função
proposta.]


Começaremos encontrando a primeira e a segunda derivada da função:



Agora, vamos buscar os pontos críticos
através da solução:
da equação, ou seja,
.
A solução dessa equação são:
.
Finalmente, vamos avaliar
nos pontos críticos
e determinar se
ou 
Sendo assim, pelo critério da segunda derivada, a função
tem um máximo local em:
e um mínimo local em
. E os valores correspondentes da função são:

E a representação gráfica é como segue:


Começaremos encontrando a primeira e a segunda derivada da função:

Agora, vamos buscar os pontos críticos
através da solução da equação
, ou seja,
.
As soluções dessa equação são:
. No entanto, considerando que o domínio da função é:
, fica claro que:

(isso acontece porque:
).
Assim, o único ponto crítico a ser considerado é:
.
Por fim, vamos avaliar
no ponto crítico
e determinar se
ou
.
Portanto, ficamos assim:
tem um máximo local em:
. O valor correspondente da função é:

E essa é a representação gráfica da função:


Vamos começar encontrando a primeira e a segunda derivada da função conhecida:

Neste momento, vamos determinas quais são os pontos críticos
através da solução da equação
, ou seja:
.
Devemos considerar:
, então:
, dos quais as soluções são dadas por:

Relembrando a variável da equação original, os pontos críticos conhecidos são:

Vamos avaliar
nos pontos críticos
e determinar se
ou
(par), então
, uma vez que:

Se
(impar), então
, uma vez que:


Portanto, pelo critério da segunda derivada, a função
tem os máximos locais em:
e os mínimos locais em:
.
E os valores correspondentes para a função são:

A representação abaixo mostra o gráfico da função:


Vamos começar encontrando a primeira e a segunda derivada da função conhecida:

Vamos encontrar os pontos críticos
através da solução da equação 
Vamos ter:

As soluções para essa equação são:
e
. Assim, temos apenas dois pontos críticos.

Por fim, vamos fazer a avaliação
no ponto crítico
e determinar se
ou 
Então, pelo critério da segunda derivada, a função
tem um mínimo local em:
, ou seja, no ponto:
Agora, vamos avaliar o segundo ponto crítico:
tem um máximo local em:
, ou seja, 
A representação abaixo mostra o gráfico da função 

\displaystyle \f(x)=\operatorname{sen}x+\cos x, \quad 0 < x < 2\pi[/latex]
Vamos começar encontrando a primeira e a segunda derivada da função conhecida:

Vamos encontrar os pontos críticos
através da soluçãoda equação: 
Vamos ter:

As soluções dessa equação, para 
Agora, vamos avaliar
no ponto crítico
e determinar se
ou 
Então, pelo critério da segunda derivada, a função
tem um mínimo local em:
, ou seja, no ponto:

A representação abaixo mostra o gráfico da função
dada.


Vamos começar encontrando a primeira e a segunda derivada da função conhecida:

Agora, temos que encontrar os pontos críticos
através da solução da equação
.
Assim, temos:

A solução para essa equação é:
. Assim, temos um só ponto crítico:.

Finalmente, vamos avaliar
no ponto crítico
e determinar se
ou
tem um máximo local em:
, no ponto:

Essa é a figura que representa graficamente conhecida da função:

Resumir com IA:
