Soma de polinômios
Para fazer a soma de dois ou mais polinômios devemos somar os coeficientes dos termos cuja parte literal sejam iguais. Ou seja, as variáveis e os expoentes (seu grau) devem ser os mesmos nos termos em que vamos somar.
Método 1 para somar polinômios
Passos:
1. Organize os polinômios do termo com maior grau para o menor.
2. Agrupe os monômios com mesmo grau.
3. Some os monômios semelhantes.
Exemplo do primeiro método para somar polinômios
Some os seguintes polinômios:
1. Organize os polinômios se ainda não estão.
2. Agrupe os monômios com mesmo grau.
3. Some os monômios semelhantes.
Método 2 para somar polinômioss
Também podemos somar polinômios escrevendo um debaixo do outro, de forma que os monômios semelhantes fiquem em colunas e possam ser somados.
Exemplo do segundo método para somar polinômios
Some os polinômios:
1. Coloque em colunas os termos de maior grau para o menor grau e some.
Assim,
2. 
Subtração de polinômios
A subtração de polinômios consiste em somar no minuendo o oposto do subtraendo.
Exemplo de subtração de polinômios
Subtraia os polinômios:


1. Agrupamos.Obtemos o oposto do subtraendo de
.
2. Agrupamos.
3. Resultado da subtração.
Multiplicação de polinômios
1. Multiplicação de um número por um polinômio
A multiplicação de um número por um polinômio é outro polinômio. O polinômio obtido tem o mesmo grau do polinômio inicial. Os coeficientes do polinômio obtido são o produto dos coeficientes do polinômio inicial pelos números, mantendo-se as mesmas partes literais.
Exemplos:
1. 
2. 
2. Multiplicação de um monômio por um polinômio
Na multiplicação de um monômio por um polinômio multiplica-se o monômio por todos e cada um dos monômios que formam o polinômio.
Lembre-se que primeiro devemos multiplicar os sinais, depois multiplicar os monômios correspondentes para o qual deve-se multiplicar os coeficientes e, por fim, fazer a multiplicação da parte literal onde quando multiplicamos as variáveis iguais os expoentes são somados.
Exemplo:
3. Multiplicação de polinômios
Este tipo de operação pode ser feita de duas formas diferentes.
Método 1 para multiplicar polinômios
Passos:
1. Multiplicamos cada monômio do primeiro polinômio por todos os elementos do segundo polinômio.
2. Somamos os monômios com mesmo grau, obtendo assim outro polinômio cujo grau é a soma do grau dos polinômios que são multiplicados.
Exemplo:
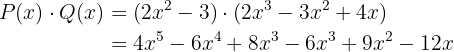
Multiplique os seguintes polinômios
1. Multiplicamos cada monômio do primeiro polinômio por todos os elementos do segundo polinômio.
2. Somamos os monômios de mesmo grau.
3. Obtemos outro polinômio cujo grau é a soma dos graus dos polinômios que são multiplicados.

e
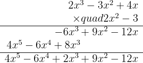
Método 2 para multiplicar polinômios
Também podemos multiplicar polinômios escrevendo um polinômio debaixo de outro. Em cada fila multiplicamos cada um dos monômios do segundo polinômio por todos os monômios do primeiro polinômio. Colocamos os monômios semelhantes na mesma coluna e depois somamos os monômios semelhantes.
Exemplo:
Multiplique os seguintes polinômios
Como a multiplicação de polinômios cumpre a propriedade comutativa, pegamos como polinômio multiplicador o polinômio mais simples.
Divisão de polinômios
Explicaremos com um exemplo.
Exemplo:
Resolva a divisão dos polinômios
P(x) : Q(x)
1 À esquerda localizamos o dividendo. Se o polinômio não está completo, deixamos espaços nos lugares correspondentes.
2 À direita localizamos o divisor dentro de uma caixa.
3 Dividimos o primeiro monômio do dividendo entre o primeiro monômio do divisor.
4 Multiplicamos cada término do polinômio divisor pelo resultado anterior e o subtraímos do polinômio dividendo:

5 Voltamos a dividir o primeiro monômio do dividendo entre o primeiro monômio do divisor. Multiplicamos o resultado pelo divisor e o subtraímos pelo dividendo.
Obtemos assim


6 Procedemos igual que antes. Desta vez
Assim

7 Como nos passos anteriores dividimos
por
, e obtemos
. Multiplicamos por
cada termo do divisor e obtemos:
Agora com a subtração:
Concluímos que 10x − 16 é o resultado, porque seu grau é menor que o do divisor e portanto não podemos continuar dividindo. E o quociente é 
Resumir com IA:








