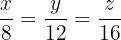
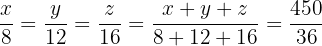
Divisão diretamente proporcional
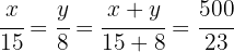
Um avô distribuiu R$ 450,00 entre seus três netos de 8, 12 e 16 anos de idade, de forma proporcional às suas idades. Quanto cada um receberá?
1 A divisão proporcional é dada por:

2 Pela propriedade da razões iguais:

3 Cada neto receberá:
reais
reais
reais
Três indivíduos formaram uma sociedade, investindo R$ 5.000 , R$ 7.500 e R$ 9.000, respectivamente. Após um ano, obtiveram um lucro de R$ 6.450. Quanto caberá a cada um, se o lucro for dividido de forma diretamente proporcional aos capitais investidos?
1 A divisão proporcional é dada por:

2 Pela propriedade das razões iguais:

3 Cada sócio receberá:
reais
reais
reais
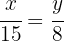
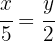
Uma quantia em dinheiro é dividida entre três pessoas, em partes diretamente proporcionais a 3, 5 e 7. Sabendo que a segunda pessoa recebe R$ 735,00, determine quanto recebem a primeira e a terceira.
1 A divisão proporcional é dada por:

2 A primeira e a terceira pessoa recebem:
reais
reais
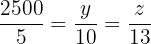
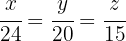
Um valor é dividido em partes proporcionais a 5, 10 e 13, sendo que a menor parte recebe R$ 2.500,00. Quanto recebem as outras duas partes?
1 A divisão proporcional é:

2 As outras duas pessoas recebem:
reais
reais
Três pintores pintaram uma casa em 10 horas. O primeiro trabalhou 2 horas, o segundo 3 horas e o terceiro 5 horas. Se receberam R$ 400,00 pelo serviço, quanto caberá a cada um, considerando a divisão proporcional às horas trabalhadas?
1 A divisão proporcional é:

2. Pela propriedade das razões iguais:

3 Cada pintor receberá:
reais
reais
reais
Divisão inversamente proporcional
Dois funcionários têm diferentes capacidades de produção em uma fábrica: um produz 8 unidades por hora e o outro 15 unidades por hora. Se um incentivo de R$ 500,00 deve ser dividido inversamente proporcional à sua capacidade, quanto cada um receberá?
1 Usamos os inversos:

2 Descobrimos o denominador comum
, 
3 Realizamos uma divisão diferente da proporcional com moradores: 15 e 8
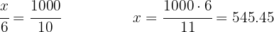
1 A divisão proporcial é:

2. Pela propriedade das razões iguais:
reais
3. Os aportes de cada estudante:
reais
reais
Dessa forma, o trabalhador que produz 8 unidades e recebe
reais o que produz 15 unidades recebe
reais.
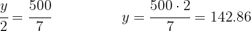
Dois irmãos participaram de um concurso de enigmas e ganharam R$ 500,00. O primeiro cometeu 2 erros e o segundo, 5 erros. Se eles decidirem dividir o prêmio de forma inversamente proporcional ao número de erros cometidos, quanto cada um receberá?
1 Calculamos os inversos dos erros:
, 
2 Reduzimos ao mesmo denominador:
, 
3 Fazemos a divisão diretamente proporcional aos numeradores 5 e 2
1 A divisão proporcional é dada por:

2 Pela propriedade das razões iguais:
reais
reais
reais
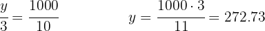
Para garantir o primeiro lugar no concurso de enigmas, os dois irmãos decidem convidar Maria. Os três participam e conseguem ganhar o primeiro lugar, obtendo um prêmio de R$ 1.000,00. Nesta ocasião: o primeiro irmão cometeu 1 erro, o segundo irmão cometeu 2 erros e Maria cometeu 3. Como decidiram repartir o prêmio de maneira inversamente proporcional ao número de erros cometidos, quanto Maria vai receber?
1 Calculamos os inversos dos erros:

2 Reduzimos ao mesmo denominador

3 Realizamos a divisão diretamente proporcional aos números: 6, 3 e 2
1 A divisão proporcional é:

2 Pela propriedade das razões iguais:

3. Os aportes de cada irmão e de Maria serão:
reais
reais
reais
Maria receberá o correspondente a
reais
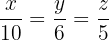
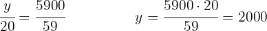
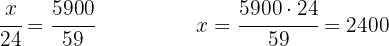
Três irmãos contribuem para o sustento familiar, entregando anualmente 5.900 reais. Se suas idades são 20, 24 e 32 anos e as contribuições são inversamente proporcionais à idade, quanto cada um contribui?
1 Calculamos os inversos das idades:
,
, 
2. Reduzimos ao mesmo denominador comum
,
, 
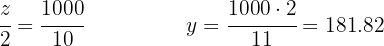
3 Realizamos a divisão diretamente proporcional aos numeradores (24, 20 e 15):
1 A divisão proporcional é:

2 Pela propriedade das razões iguais:

3 Cada irmão contribuirá com:
reais
reais
reais
Deseja-se dividir 420 reais entre três crianças, em partes inversamente proporcionais às suas idades (3, 5 e 6 anos). Quanto cada uma receberá?
1 Calculamos os inversos das idades:
,
, 
2 Reduzimos ao mesmo denominador
,
, 
3 Realizamos a divisão diretamente proporcional aos numeradores (10, 6 e 5):
1 A divisão proporcional é:

2 Pela propriedade das razões iguais:

3 Cada criança receberá:
reais
reais
reais
Resumir com IA:









as atividades são excelentes