Temas
Método de substituição
O método de integração por mudança de variável ou substituição se baseia na derivada da função composta.
Para mudar a variável identificamos uma parte do que será integrado com uma nova variável t, de modo que se obtenha uma integral mais simples.
Passos para integrar por mudança de variável
1 É feita a substituição de variável e então diferencia-se nos dois termos:
2Substitui-se a diferencial na integral.
3 Se a integral resultante for mais simples, vamos fazer a integração:
4 Retorna a variável original:
Exemplo: Resolva usando integração por substituição, a integral
1 Realizamos a substituição de variável
Calculamos a diferencial
2Substituímos na integral e o simplificamos, integrando
3Resolvemos a nova integral
4Voltamos com a variável original, para tal, vamos usar 
Assim, a solução obtida é
Substituições de variáveis comuns
Aqui estão algumas das substituições de variáveis comuns usadas para resolver integrais.
1 
2 
3 
4 
5 Nas funções racionais de raízes com índices diferentes, do mesmo radicando linear
, a substituição de variável é
elevado ao mínimo comum múltiplo dos índices.
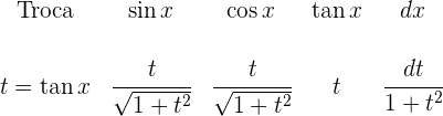
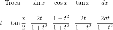
6 Se
é par:
7 Se
não é par:
Exercícios propostos
Resolva as seguintes integrais, usando o método de substituição.

a) Realizamos a substituição de variável e calculamos sua diferencial


b) Substituímos na integral e, para simplificar, usamos identidades trigonométricas

c) Resolvemos as integrais obtidas

d) Voltamos à variável original, para isso resolvemos
na substituição de variável

Calculamos para o seno e cosseno de 


Dessa forma, o resultado se expressa na variável
como


a) Realizamos a substituição de variável e calculamos sua diferencial


b) Substituímos na integral e simplificamos

c) Resolvemos as integrais obtidas

d) Voltamos à variável original


a) Realizamos a substituição de variável e calculamos sua diferencial


b) Substituímos na integral e fazemos a simplificação

c) Resolvemos as integrais obtidas

d) Voltamos à variável original


a) Realizamos a substituição da variável e calculamos sua diferencial


b) Substituímos na integral e fazemos a simplificação

c) Resolvemos as integrais obtidas

d) Voltamos à variável original.

Dessa forma, a solução em termos da variável original é


a) Realizamos a substituição de variável e calculamos sua diferencial


b) Substituímos na integral e simplificamos

c) Resolvemos as integrais obtidas

d) Voltamos à variável original

Assim, a solução em termos da variável original é


a) Realizamos a substituição de variável e calculamos sua diferencial


b) Substituímos na integral e simplificamos

c) Resolvemos as integrais obtidas

d) Voltamos à variável original

Dessa forma, a solução em termos da variável original é

Resumir com IA:








