A derivação pela regra da cadeia é aplicada quando buscamos derivar uma composição de funções.
Se temos uma função composta da forma

então sua derivada, em relação a
, é dada por:

ou, na notação com diferenciais,

Devemos observar cuidadosamente que
é a derivada de
, mas em termos de
.
A demonstração pela definição é a seguinte:

Agora veremos alguns exercícios em que aplicaremos a regra da cadeia.
Derive a seguinte função:

Observamos que, neste caso, é conveniente definir:
e
.
Dessa forma, temos;

e, por sua vez,

Assim, aplicando a regra da cadeia, a derivada é dada por:

Derive a seguinte função:

Observamos que, neste caso, é conveniente definir:
e
.
Dessa forma, temos;

enquanto que,

Assim, aplicando a regra da cadeia, a derivada é dada por:

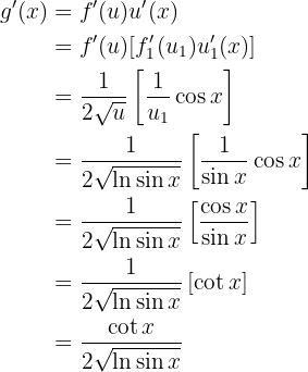
Derive a seguinte função:

Observamos que, neste caso, há uma composição dupla; portanto, aplicaremos a regra da cadeia duas vezes. Inicialmente, consideramos

em que
e
. Assim, temos

Agora, derivamos
. Observe que essa função também pode ser escrita como uma composição, isto é,
, em que
e
.
Suas derivadas são

e

Portanto, a derivada procurada é dada por

Derive a seguinte função:

Neste caso, podemos definir
e
.
Assim, temos

e, por outro lado,

Portanto, aplicando a regra da cadeia, obtemos

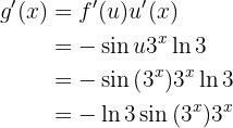
Derive a seguinte função:
Neste caso, podemos definir
e
.
Dessa forma, temos
e, além disso,

Assim, aplicando a regra da cadeia, obtemos

Resumir com IA:
