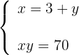
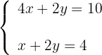
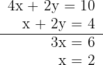
Problemas de áreas e perímetros
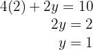
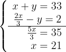
Qual é a área de um retângulo sabendo que seu perímetro é
e que sua base é o triplo de sua altura?
1 Estabelecemos as variáveis
base do retângulo
altura do retângulo
2 Escrevemos as equações
perímetro
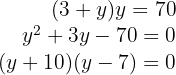
3Formamos o sistema, na primeira equação estabelecemos a relação entre a base e a altura e, na segunda, o perímetro.

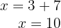
4Substituímos o valor de
da primeira equação na segunda equação, de modo que calculamos o valor de 

5Para encontrar o valor de
substituímos na primeira equação.

6Assim, a base mede
e a altura é 
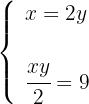
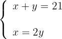
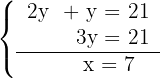
Qual é o perímetro de um retângulo sabendo que sua área é
e que sua base é três centímetros maior que sua altura?
1 Estabelecemos as variáveis
base do retângulo
altura do retângulo
2 Escrevemos as equações
área
3Formamos o sistema, na primeira equação estabelecemos a relação entre a base e a altura e, na segunda, a área.

4Substituimos o valor de
da primera equação na segunda equação, de modo que calculamos o valor de 

Logo, 
5Para encontrar o valor de
substitimos na primeira equação.

6Assim, a base mede
e a altura é
e o perímetro é de 
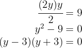
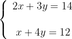
A base de um triângulo é três unidades maior que sua altura. Se sua área é
, quais são as medidas do triângulo?
1 Estabelecemos as variáveis
base do triângulo
altura do triângulo
2 Escrevemos as equações:

3Formamos o sistema, na primeira equação estabelecemos a relação entre a base e a altura e na segunda, a área.

4Substituimos o valor de
da primeira equação na segunda equação, de modo que calculamos o valor de 

Logo, o valor é
, (o valor
é desconsiderado, pois não se pode ter medidas negativas).
5Para encontrar o valor de
substituimos na primeira equação.

6Assim, a base mede
e a altura é 
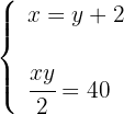
A base de um triângulo é o dobro de sua altura. Se sua área é
, quais são as medidas do triângulo?
1 Estabelecemos as variáveis
base do triângulo
altura do triângulo
2 Escrevemos as equações.

3Formamos o sistema e na primeira equação estabelecemos a relação entre a base e a altura e na segunda, a área.

4Substituimos o valor de
da primeira equação na segunda equação, de modo que calculamos o valor de 

Logo, o valor é
, (o valor
não é considerado, pois não se pode ter medidas negativas).
5Para encontrar o valor de
substituimos na primeira equação.

6Assim, a base mede
e a altura é de 
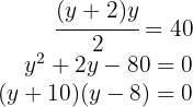
A base de um triângulo isósceles é 2 unidades maior que sua altura. Se sua área é
, quais são as medidas do triângulo?
1 Estabelecemos as variáveis
base do triângulo
altura do triângulo
2 Escrevemos as equações.

3Formamos o sistema e na primeira equação estabelecemos a relação entre a base e a altura e na segunda, a área.

4Substituimos o valor de
da primeira equação na segunda equação, de modo que calculamos o valor de 

Logo, o valor é
, (o valor
é desconsiderado, pois não se pode ter medidas negativas).
5Para encontrar o valor de
substituimos na primeira equação.

6Assim, a base mede
e a altura é de 
Problemas da fazenda
Uma fazenda tem perus e porcos. No total há
cabeças e
patas. Quantos porcos e perus há?
1 Estabelecemos as variáveis
número de perus
número de porcos
2 Escrevemos as equações, na primeira equação relacionamos as cabeças e na segunda equação as patas:

3Resolvemos o sistema por redução, multiplicando a primeira equação por -2:

4Para encontrar o valor de
substituímos o valor de
na primeira equação:

5Assim, há
perus e
porcos.
Pedro e João têm perus. João diz: se você me der
perus, teremos a mesma quantidade. Pedro responde: se você me der
perus, eu teria três vezes mais do que você teria. Quantos perus tem cada um?
1 Estabelecemos as variáveis
número de perus de Pedro
número de perus de João
2 Escrevemos as equações:

3Isolamos
na primeira equação e substituímos na segunda:

4Para encontrar o valor de
substituímos o valor de
na primeira equação:

5Assim, Pedro tem
perus e João tem
perus.
Maria vai ao mercado e compra
maçãs e
laranjas por R$
.Se tivesse comprado
maçãs e
laranjas, ela teria pago R$
. Qual é o preço de cada fruta?
1 Estabelecemos as variáveis
preço da maçã
preço da laranja
2Formamos o sistema:

3Resolvemos o sistema por redução, multiplicando a primeira equação por -2 e a segunda por 3:

4Calculamos o valor de
substituindo o valor de
na primeira equação:

5 Assim,o preço da maçã é R$
e o da laranja é R$
.
Pedro compra
peras e
mangas por R$
. No dia seguinte, compra
pera e
mangas e paga R$
. Se em ambos os dias o preço das frutas não apresentou aumento nem diminuição, qual é o preço de cada fruta?
1 Estabelecemos as variáveis
preço da pera
preço da manga
2Formamos o sistema:

3Resolvemos o sistema por redução, multiplicando a segunda equação por -5:

4Calculamos o valor de
substituindo o valor de
na segunda equação:

5 Assim, o preço da pera é R$
e o da manga é R$
.
No mercado, vendem
maçãs e
pêssegos por R$
. Também vendem
maçã e
pêssegos por R$
. Qual é o preço de cada fruta?
1 Estabelecemos as variáveis
preço da maçã
preço do pêssego
2Formamos o sistema:

3Resolvemos sistema por redução:

4Calculamos o valor de
substituindo o valor de
na primeira equação:

5 Assim, o preço da maçã é R$
e o do pêssego é R$
.
Problemas aritméticos
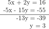
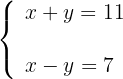
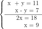
A soma de dois números é 11 e sua diferença é 7, quais são esses números?
1 Estabelecemos as variáveis
número maior
número menor
2Formamos o sistema:

3Resolvemos o sistema por redução:

4Substituimos o valor de
na primeira equação:

5Assim, os números procurados são
e
.
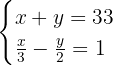
A soma de dois números é 33 e a terceira parte do maior menos a metade do menor é 1, quais são esses números?
1 Estabelecemos as variáveis
número maior
número menor
2Formamos o sistema:

3Resolvemos o sistema por redução, multiplicando a segunda equação por 2:

4Substituímos o valor de
na primeira equação:

5Assim, os números procurados são
e
.
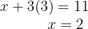
A soma de dois números é 21 e um deles é igual ao dobro do outro, quais são esses números?
1 Estabelecemos as variáveis
número maior
número menor
2Formamos o sistema:

3Resolvemos o sistema por substituição:

4Substituimos o valor de
na segunda equação:

5Assim, os números procurados são
e
.
A cifra das dezenas de um número de duas cifras é o dobro da cifra das unidades, e se a esse número subtrairmos
, obtemos o número que resulta ao inverter a ordem das suas cifras. Qual é esse número?
1 Estabelecemos as variáveis:
cifra das unidades
cifra das dezenas
2 Representamos o número:

3 Representamos o número invertido:

4Formamos o sistema:

5Substituimos o valor de
na segunda equação:

6Resolvemos a equação:

7Calculamos o valor de 

8O número procurado é 
Encontre um número de duas cifras sabendo que sua cifra das dezenas soma
com a cifra das unidades e que, se invertermos a ordem das suas cifras, obtemos um número que é igual ao primeiro menos
.
1 Estaabelecemos as variáveis
cifra das unidades
cifra das dezenas
2 Escrevemos as condições:
número
número invertido
3Formamos o sistema:

4Isolamos
na primeira equação e na segunda fazemos a operação:

5Substituimos o valor de
na primeira equação:

6Assim, o número é 
Problemas de custos
João comprou um computador e uma televisão por R$
e os vendeu por R$
. Quanto custou cada ítem, sabendo que na venda do computador ele obteve um lucro de
e na venda da televisão ele obteve um lucro de
?
1 Estabelecemos as variáveis
preço do computador
preço da televisão
2 Escrevemos os preços de venda:


3Formamos um sistema com a equação de compra e outra com a equação da venda:

4Eliminamos os denominadores:

5Resolvemos o sistema por redução, multiplicando a primeira equação por -110:

6Substituimos o valor de
na primeira equação:

Assim, o preço do computador é R$
e o preço da televisão é R$
.
Antonio diz a Pedro: "O dinheiro que tenho é o dobro do que você tem", e Pedro responde: "Se você me der seis reais, teremos a mesma quantidade". Quanto dinheiro tinha cada um?
1 Estabelecemos as variáveis
quantia de dinheiro de Antônio
quantia de dinheiro de Pedro
2Formamos o sistema, na primeira equação expressamos o que diz Antônio e na segunda expressamos o comentário de Pedro, lembrando que se ele der R$
, terá R$
a menos:

3Resolvemos o sistema por substituição, substituímos o valor de
na segunda equação:

4Calculamos o valor de
na primeira equação:

5Assim, Antônio tem R$
reais e Pedro tem R$
reais.
Em uma empresa trabalham
pessoas.
dos homens e
das mulheres usam óculos. Se o número total de pessoas que usam óculos é igual a
, quantos homens e quantas mulheres há na empresa?
1 Estabelecemos as variáveis
número de homens
número de mulheres
2 Escrevemos as condições para homens e mulheres que usam óculos:

3Formamos o sistema:

4Eliminamos os denominadores na segunda equação:

5Resolvemos na segunda equação, isolando
da primeira equação.

6Substituimos
na segunda equação e resolvemos:

7Substituimos o valor de
na primeira equação:

8Assim, o número de homens é
e o de mulheres é
.
Pagamos R$
na compra de dois eletrodomésticos. Se no primeiro tivéssemos recebido um desconto de
e no segundo um desconto de
, teríamos pago R$
. Qual é o preço de cada eletrodoméstico?
1 Estabelecemos as variáveis
preço do primeiro
preço do segundo
2 Escrevemos as condições dos descontos:

3Formamos o sistema:

4Eliminamos os denominadores na segunda equação:

5Resolvemoso sistema por redução, multiplicando a primeira equação por -90:

6Calculamos o valor de
substituindo o valor de
na primeira equação:

7 Assim, o preço do primeiro eletrodoméstico é de R$
e o do segundo eletrodoméstico é R$
.
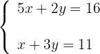
Na compra de dois cadernos e três lápis foi pago R$
e pela compra de um caderno e quatro lápis foi pago R$
. Qual é o custo de cada ítem?
1 Estabelecemos as variáveis
preço do caderno
preço do lápis
2Formamos o sistema:

3Resolvemos o sistema por redução, multiplicando a segunda equação por -2:

4Calculamos o valor de
substituindo o valor de
na segunda equação:

5 Assim, o preço do caderno é R$
e o lápis é R$
.
Resumir com IA:









Gostei muito da ajuda foi muito bom
🙏
X+y=-11
-X-2y=20