Uma matriz é uma estrutura matemática que permite organizar dados em linhas e colunas, facilitando a representação e o processamento de informações em diversos campos, como engenharia, física, economia e informática. Os exercícios com matrizes nos ajudam a entender como trabalhar com elas, desde operações básicas como soma e multiplicação até conceitos mais avançados, como a determinação das inversas.
Resolva os seguintes problemas:
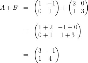
Considere as matrizes:

Calcule as somas e subtrações:
a) 
b) 
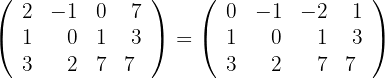
a) 
Somamos os elementos que estão na mesma posição em ambas as matrizes:

b) 
Subtraímos os elementos que estão na mesma posição em ambas as matrizes:

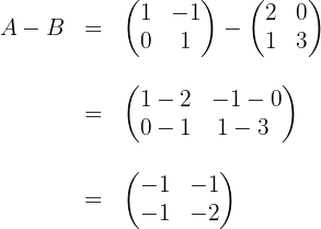
Dado as matrizes:

Calcule:
a) 
b) 
a) 
Somamos os elementos que estão na mesma posição em ambas as matrizes:

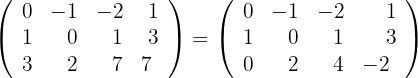
b) 
Subtraímos os elementos que estão na mesma posição em ambas as matrizes:

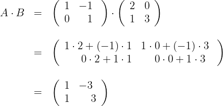
Considerando as matrizes:

Verifique se a condição é atendida: 
a) Vamos calcular 
Multiplica-se a fila
pela coluna
(produto escalar) para obter o elemento
.

b) Calculamos 
Novamente, multiplica-se a fila
pela coluna
(produto escalar) para obter o elemento 

c) Podemos verificar que 
Considerando as matrizes abaixo:

Verifique se satisfaz 
a) Calculamos 
Vamos multiplicar a fila
pela coluna
(produto escalar) para obter o elemento 

b) Calculamos 
Multiplicando a fila
pela coluna
(produto escalar) para obter o elemento 

c) Pelo anterior, verificamos que 
Considere as matrizes:

Calcule:
a) 
b) 
Lembramos que a transposta de uma matriz é obtida trocando as linhas pelas colunas.
a) Calculamos 

b) Calculamos 

Dadas as matrizes

Calcule:
a) 
b) 
Lembramos que a transposta de uma matriz é obtida trocando as linhas pelas colunas.
a) Calculamos 

b) Calculamos 

Considere as matrizes:

Calcule:
a) 
b) 
a) Calculamos 

b) Calculamos 

Dadas as matrizes

Calcule:
a) 
b) 
a) Calculamos 

b) Calculamos 

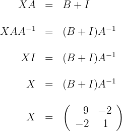
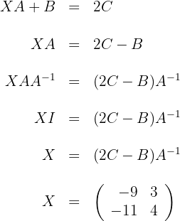
Encontre
para:

e 
a) Calculamos 

b) Calculamos 

c) Podemos notar que o elemento que se encontra na posição
coincide com a potência de
, portanto, propomos para a potência 

d) Vamos checar se a fórmula proposta satisfaz a potência 

O cálculo anterior nos permite verificar que a fórmula proposta é válida para qualquer potência 
Demonstre que
, sendo:

a) Calculamos 

b) Substituímos do lado esquerdo da equação e calculamos:

E assim, conseguimos demonstrar a igualdade solicitada.
a) Calculamos 

b) Substituímos do lado esquerdo da equação e calculamos:

E assim, conseguimos demonstrar a igualdade solicitada.
Demonstre que
, sendo:

a) Calculamos 

b) Substituímos do lado esquerdo da equação e calculamos

E assim, conseguimos demonstrar a igualdade solicitada.
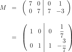
Calcule a matriz inversa de:

a) Construa uma matriz do tipo 

b) Utilize o método Gauss para transformar a metade da esquerda,
, na matriz identidade, e a matriz que resulte do lado direito será a matriz inversa
.
Dessa forma, 

Calculamos, 

E então,
e 

c) A matriz inversa é:

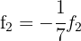
Calcule a matriz inversa de:

a) Construa um matriz do tipo 

b) Utilize o método Gauss para transformar a metade do lado esquerdo,
, na matriz identidade, e a matriz que obtenha do do lado direito, será a matriz inversa
.
Sendo assim, 

Calculamos 

E então,
y 

c) A matriz inversa é:

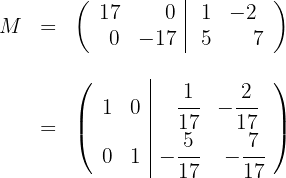
Calcule a matriz inversa de:

a) Construa uma matriz do tipo 

b) Utilize o método Gauss para transformar o lado esquerdo,
, na matriz identidade, e a matriz resultante do lado direito será a matriz inversa
.
Portanto, 

Fazemos
y 

c) A matriz inversa é:

Descubra as matrizes
e
que correspondam ao sistema:

a) Vamos multiplicar a segunda equação por 

b) Somamos termo a termo e resolvemos para 

c) Se multiplicarmos a primeira equação por 3 e somarmos termo a termo, obtemos:

Uma fábrica produz dois modelos de lavadoras,
e
, em três versões:
e
.
Produção do modelo
: 400 unidades na versão
, 200 unidades na versão
e 50 unidades na versão
.
Produção do modelo
: 300 unidades na versão
, 100 unidades na versão
e 30 unidades na versão
.
A versão
fica 25 horas na linha de produção e 1 hora na linha de administração. A versão
fica 30 horas na linha de produção e 1.2 horas na linha de administração. A versão
fica 33 horas na linha de produção e 1.3 horas na linha de administração.
a) Represente a informação em duas matrizes.
b) Encontre uma matriz que expresse as horas de oficina e de administração usadas para cada um dos modelos.
Matriz de produção:
Filas: Modelos
; Colunas: Versões 

Matriz de custo em horas:
Filas: Versões
; Colunas: Custo em horas: 

Matriz que expressa as horas de linha de produção e e administração para cada um dos modelos:

Calcule o seguinte posto matricial:

Realizamos operações elementares de linhas:
a) Assim: 

b) Em seguida: 

c) Calculamos, 

Sendo assim:
.
Sendo:

Calcule o valor de
nas equações:
a) 
b) 
c) 
d) 
e) 
Isolamos a variável
de cada cada equação
a) 

b) 

c) 

d) 

e) 

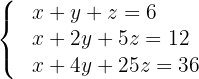
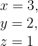
Resolva o sistema na forma matricial:

a) Vamos escrever na forma matricial

b) Resolvemos a equação

c) Portanto, a equação é:

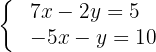
Resolva o sistema na forma matricial:

a) Vamos escrever na forma matricial

b) E resolver a equação

c) Dessa forma, a equação é a seguinte:

Resumir com IA:
