Os matemáticos nos rodeiam permanentemente, um pouco como se vivêssemos na matriz de Neo (como no filme Matrix!).
Quando você olha para sua casa, a posição das ruas de seu bairro, liga o seu carro ou liga a sua máquina de lavar roupa, faz uma gambiarra, pinta um quadro, toca piano, a matemática está exatamente em tudo!
Não há um objeto que não tenha sido feito com reflexões matemáticas.
Equações complexas de vários desconhecidos, teoremas matemáticos que datam da Antiguidade, até as últimas descobertas do século XX sempre fascinaram nosso mundo!
A cada nova equação matemática, aparece uma inundação de questões e novas respostas sobre nosso mundo físico.
Em 2013, o autor Ian Stewart, matemático e cientista britânico de renome, publicou o livro intitulado As 17 equações que mudaram o mundo (Ed. Zahar).
Fazer matemática é... como mudar o mundo!
Se você quiser entender porque a matemática é tão importante, quais impactos cada equação matemática causaram no mundo, descubra agora as 10 fórmulas totalmente revolucionárias para seus curso de matematica basica ou avançada.
O teorema de Pitágoras
Esse teorema é com certeza um dos mais conhecidos.

Mesmo depois de anos sem praticar ou fazer um curso de matematica, o nome desse teorema deve estar aí, no fundo de sua memória.
Todo mundo o conhece de cor, mas vamos lembrar dele rapidamente: em qualquer triângulo retângulo, o quadrado do comprimento da hipotenusa é igual à soma dos quadrados dos comprimentos dos catetos.
Esse teorema que dada de 530 anos a.C. é uma das bases da matemática de hoje. Ele contribui até hoje com a história da matemática.

Para entender melhor o teorema e sua importância, essa equação mudou nosso olhar da geometria plana.
Eles dizem que a gente passou de uma geometria euclidiana para uma geometria não-euclidiana.
Graças a Pitágoras e sua famosa equação, hoje é possível e mais fácil de calcular o comprimento, os ângulos e demonstrar que tal triângulo é retângulo.
A gente sempre encontra essa noção no universo da engenharia civil e na arquitetura.
Quer rever um pouco sobre a história da matemática e sua importância? Que tal um curso de matematica online?
Os logaritmos
Os logaritmos, popularizados por John Napier em 1610, reagrupam as funções inversas, as opostas e das funções exponenciais.

Até o desenvolvimento do computador, o cálculo com os logaritmos era a maneira mais comum de multiplicar grandes números. Isso permitiu de calcular mais rapidamente mas, principalmente, de fazer saltos gigantes nas áreas de matemática, física, engenharia e astronomia.
Existem 3 tipos de logaritmos:
- O logaritmo neperiano é a base fundamental na análise matemática
- O logaritmo decimal é utilizado em cálculos de matemática
- O logaritmo binário é utilizado na teoria da informática e para os cálculos aplicados (em curso de matemática)
O logaritmo é o expoente (ou potência) a que outro valor fixo, a base, deve ser elevada para produzir este número. A potência de 3 do número 2 é 8 (8 = 2 × 2 × 2 = 23).
Por exemplo, o logaritmo da base de 10 é: Log (1) = 0, log (10) = 1, log (100) = 2.
A gente pode, por exemplo, se servir da matemática para o pôker e para solucionar enigmas.
A lei da gravidade
Quem nunca ouviu falar da lei da gravidade de Isaac Newton? Você lembra da história da maçã que caiu na cabeça do gênio enquanto ele admirava a lua no céu? Isso aconteceu em 1687.

Foi fazendo a aproximação desses dois corpos (a lua e a maçã) que Newton se pergunta: por que a lua não cai?
A resposta é evidente! Porque ela é retida por uma força gravitacional.

Foi assim que nasceu a célebre fórmula da lei da gravidade de Newton: "os astros se atraem proporcionalmente ao produto de suas massas e é inversamente proporcional ao quadrado da distância que os separam".
200 anos depois de Newton, Einstein troca a teoria da gravidade para a teoria da relatividade.
A teoria da relatividade
Mesmo se a gente não conhece nada de matemática e de física, todo mundo conhece a fórmula E = mc²de Albert Einstein.

Essa fórmula que ilustra a teoria da relatividade (relatividade restrita e relatividade geral) mudou completamente os códigos da física conhecidos até então.
Ela continua a revolucionar até hoje porque ela mostra que a matéria pode ser convertida em energia e vice-versa.

A relatividade restrita aborda a ideia que a velocidade da luz é uma constante universal que não vai se modificar e que a passagem de tempo não é a mesma para as pessoas que se deslocam em velocidades diferentes.
A relatividade geral de Einstein descreve que a matéria (energia) curva o espaço e o tempo à sua volta. Isto é, a gravitação é um efeito da geometria do espaço-tempo (quê???). Isso gerou uma revolução tão grande quanto a lei da gravidade de Newton.
Até hoje, a teoria da relatividade de Einstein é essencial para entender a origem, a estrutura e o destino do nosso universo.
A matemática permite de conhecer melhor o mundo. A gente pode facilmente perceber a onipresença da matemática no nosso cotidiano.
Porque não fazer mais aula de matematica?
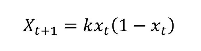
A teoria do Caos
O que é muito interessante com a teoria do caos é que ela demonstra que a gente não pode prever com determinação aquilo que vai acontecer.

Essa teoria prova que não existe nenhum processo que a gente pode presumir.
A teoria de Robert May é muito recente porque ela data de 1975.
Ela descreve um processo em constante evolução através do tempo.

Em sua fórmula, May queria explicar que um comportamento caótico (como a meteorologia que sofre cada vez mais mudanças climáticas) pode conduzir a um outro sistema completamente diferente de alguns dias atrás.
A ilustração mais conhecida é aquela chamada de "efeito borboleta" que diz que "o batimento das asas de uma borboleta na Argentina pode causar um furacão ou um tornado na Ásia".
Em outras palavras, as coisas mais insignificantes podem ter um impacto impensável em nossa volta ou bem longe.
Aliás, a gente pode mesmo associar a matemática com a sedução!
É a multiplicidade de fatores que transforma todo evento imprevisível.
A identidade de Euler
A identidade de Euler é considerada "a mais bela das equações" dos cursos de matemática porque ela valoriza uma combinação improvável de 5 constantes matemáticas.

Por que essa equação é tão admirada? Porque ela utiliza 3 operações fundamentais da aritmética: adição, multiplicação e exponenciação.
As três constantes representadas são o "0" que é o elemento neutro da adição, o "1" que é o elemento neutro da multiplicação e o fabuloso pi, o "e" que é a base dos logaritmos (e que sempre aparece em análises e cálculos diferencialmente) e o "i" que é a unidade imaginária, fonte de números complexos que a gente encontra nas equações de 3 incógnitas.
Essa equação que decora o palácio da descoberta em Paris abriu o caminho para o desenvolvimento da topologia, um ramo da matemática moderna.
A transformada de Fourier
A transformada de Fourier recorta o tempo em várias frequências e ondas simples como um prisma desconstrói a luz em vários raios coloridos.

Um outro exemplo poderia ser um campo magnético ou um campo acústico que a gente define como um sinal, a transformada de Fourier é seu espectro: ela desconstrói o campo acústico ou magnético.

Essa teoria mudou completamente nosso mundo porque, de repente, era possível entender a estrutura das ondas mais complexas como a da fala humana.
Hoje, a gente revê essa teoria que data de 1822 no centro do tratamento moderno de sinais, análises e tratamentos de dados.
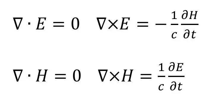
As equações de Maxwell
As equações de Maxwell descrevem como interagem as cargas elétricas mas também as correntes de energia e os campos magnéticos.

São as leis essenciais e fundamentais da física de hoje.
Há 4 formas de equações de Maxwell:
- Equação de Maxwell-Gauss
- Equação de Maxwell-Thomson
- Equação de Maxwell-Faraday
- Equação de Maxwell-Ampère
A segunda lei da termodinâmica
A segunda lei da termodinâmica (também conhecida como ciclo de Carnot difundida em 1824) prova de maneira irrefutável que os fenômenos físicos são irreversíveis notadamente quando há mudanças térmicas.

Esse princípio foi redesenhado e reformulado várias vezes. Ludwig Boltzmann e Max Planck o popularizaram em grande escala em 1873.
Enquanto a primeira lei da termodinâmica estabelece uma equivalência de diferentes formas de energia como o calor e o trabalho (princípio de conservação), a segunda lei introduz um outro sistema chamado entropia.
É um princípio de evolução porque ele determina em qual direção as possíveis transformações energéticas do mundo podem ser realizadas.
Em consequência disso, algumas transformações químicas são possíveis enquanto outras nunca serão.
Concretamente, se você colocar um gelo em sua taça de café quente, você vai ver o gelo derreter mas nunca o café congelado.
Para aprender mais sobre as leis da termodinâmica, que tal um fazer curso de matematica basica?
A equação de Schrödinger
Se a gente devesse ilustrar o que são a matemática e a mecânica quântica, a equação de Schrödinger seria o exemplo perfeito.

Como a teria da relatividade geral de Einstein pôde explicar o universo em grande escala, essa equação esclarece muito sobre o comportamento dos átomos e as partículas subatômicas.
A equação de Schrödinger explica a evolução no tempo de uma partícula. Ela descreve os estados dessas partículas no momento em que é possível descrever todos os seus estados.

Essa equação deixa uma pergunta filosófica no ar: a matéria é constituída de presenças de estados possíveis (gaz, sólido, líquido)? Não há outra coisa?
A aplicação dessa equação se encontra na tecnologia moderna como a energia nuclear, os computadores à semicondução e os lasers.
Como a gente pode ver através do tempo e principalmente no século XVIII e XIX, as equações matemáticas souberam transformar o mundo em que vivemos. Elas nos servem todos os dias no cotidiano, de maneira mais ou menos direta.
Qual é a próxima inovação matemática? Quais são as novas revelações matemáticas que vão ainda mudar completamente a concepção de vida tal como a gente pensa?
Pode ficar tranquilo que o Superprof vai ficar atento e vai te contar tudo!










Magnífico !
Maravilhoso artigo. Obrigada
Incrivel
Artigo objetivo e encantador.
Excelente!
Conhecer o comportamento dos números é conhecer o universo…
A intelectualidade é mágica!!!
Fascinante!