Bem-vindo à nossa página dedicada a exercícios e problemas resolvidos com a regra de três! A regra de três é uma das ferramentas mais práticas e úteis em matemática para encontrar proporções entre diferentes objetos. Ela funciona como uma bússola, nos guiando por situações nas quais precisamos relacionar quantidades e encontrar proporções precisas.
Neste espaço, vamos detalhar diversos exercícios e problemas para que você possa aprimorar suas habilidades na arte da proporção. Seja para melhorar suas habilidades matemáticas cotidianas ou para aplicar a regra de três em contextos mais complexos, você está no lugar certo. Prepare-se para desafiar sua mente e se tornar um especialista na regra de três!
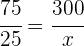
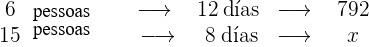
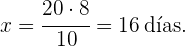
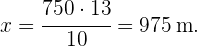
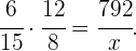
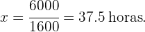
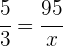
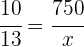
Duas rodas estão unidas por uma correia transmissora. A primeira tem um raio de 25cm e a segunda de 75cm. Quando a primeira der 300 voltas, quantas voltas a segunda terá dado? Primeiro, observe que essas são magnitudes inversamente proporcionais, pois, quanto maior o raio, menor será o número de voltas. Se representarmos o valor de voltas procurado por x no seguinte diagrama obtemos que: A porção de voltas é igual à porção de raio no desta forma: Assim: Portanto, serão dadas 100 voltas. A escala em um mapa é a seguinte: 10cm no mapa representam 750m na realidade. A quantos metros na realidade correspondem 13cm no mapa? Primeiro, observe que essas magnitudes são diretamente proporcionais, ou seja, quanto mais centímetros no mapa, mais metros na realidade serão. Assim, se representarmos o número de metros na realidade por x, então, no seguinte diagrama, obtemos que: A proporção de metros é igual à proporção de centímetros. Dessa maneira: Portanto, o valor de x é: Seis pessoas podem viver em um hotel durante 12 dias por R$792. Quanto custará o hotel para 15 pessoas durante 8 dias? Quanto mais pessoas, maior o custo, e quanto mais dias, maior também o custo, portanto, são magnitudes diretamente proporcionais. Seja x o valor do custo que estamos procurando, então: Portanto, a porção de pessoas multiplicada pela porção de dias é igual à porção de dinheiro, ou seja, Agora, isolamos o valor de x: Dessa forma, o hotel para 15 pessoas por 8 dias custará R$ 1320. Uma loja de conveniência em Portugal cobra 3€ a cada 800€ depositado, e se a quantidade não for exata, cobra-se o valor correspondente. Se uma pessoa depositou 20000€, quanto a loja de conveniência cobrou pelo depósito? Primeiro, observe que essas são magnitudes diretamente proporcionais, pois, quanto mais dinheiro depositado, maior será o valor cobrado. Assim, se representarmos por x o valor cobrado pelo depósito do dinheiro, no seguinte cálculo obtemos que: Como a proporção de dinheiro cobrado é igual à proporção de dinheiro depositado, o cálculo fica assim: E, portanto, o valor de x é: Se 12 latas de tinta 0.5l pintaram 90m de cerca de 80cm de altura. Calcule quantas latas de tinta de 2l serão necessárias para pintar uma cerca parecida de 120cm de altura e 200m de comprimento. Quanto mais tinta tiver na lata, menos latas serão necessárias. São magnitudes inversamente proporcionais. Quanto maior for a superfície que precisamos pintar, mais latas serão necessárias. São magnitudes diretamente proporcionais. Essas informações nos permitem formular o seguinte diagrama: Neste caso, o x representa o número de latas de tinta que precisamos. Na coluna do meio do diagrama, passamos para o comprimento da cerca em metros e calculamos a área dessa cerca, multiplicando a altura pelo comprimento. Agora, isolamos o valor de x da equação: Portanto, serão necessárias 10 latas de tinta de 2l. Se uma casa leva 20 dias para ser construída com 8 pedreiros trabalhando, quantos dias levará se forem contratados 2 pedreiros adicionais? Primeiro, observe que a variável pedreiro é inversamente proporcional à variável dias, já que é razoável pensar que, quanto mais pedreiros, menos tempo será necessário para construir a casa. Assim, se representarmos por x o valor de dias que queremos saber, ficará como segue: Como a quantidade de pedreiros é inversamente proporcional à quantidade de dias, fica desse jeito: E descobrimos o valor de x: 11 trabalhadores aram um campo retangular de 220m de comprimento e 48m de largura em 6 dias. Quantos trabalhadores serão necessários para arar outro terreno de 300m de comprimento por 56m de largura em cinco dias? Primeiro, observe que, para campos com dimensões proporcionais, a quantidade de trabalhadores necessária é inversamente proporcional ao número de dias, já que mais trabalhadores permitirão que o trabalho seja feito em menos tempo. A área do campo também está relacionada com a quantidade de trabalhadores e o tempo. Se representarmos por x o número de trabalhadores necessários como a variável que procuramos, podemos usar a seguinte relação proporcional: A proporção entre a quantidade de trabalhadores e a quantidade de dias será inversamente proporcional à proporção entre as áreas dos dois campos. Assim, a equação que devemos considerar é: Com base nisso, são necessários 21 trabalhadores para arar o novo campo em cinco dias. São necessárias 20 enfermeiras para atender 200 pacientes em 5 dias. Quantas enfermeiras são necessárias para atender 500 pacientes em 10 dias? Primeiro, observe que, quanto mais enfermeiras, menos serão os dias necessários para atender os pacientes, portanto, a variável dias é inversa. Da mesma forma, quanto mais pacientes, maior será a quantidade de enfermeiras necessárias, logo, a variável pacientes é direta. Portanto, seja x o número de enfermeiras que estamos buscando, então o problema pode ser representado da seguinte maneira: Portanto, a proporção inversa dos dias multiplicada pela proporção de pacientes é igual à proporção de enfermeiras, já que a variável dias é inversa e a variável pacientes é direta, ou seja: Agora, isolamos x: São necessárias 25 enfermeiras. Seis torneiras demoram 10horas para encher um depósito de 400m³ de capacidade. Quantas horas 4 torneiras levarão para encher 2 depósitos de 500m³? Quanto mais torneiras, menos horas. São magnitudes inversamente proporcionais. Quanto mais depósitos, mais horas. São magnitudes diretamente proporcionais. Quanto maior a capacidade (m³), mais horas. São magnitudes diretamente proporcionais. Com essas informações, podemos formular o seguinte diagrama: Essas quantidades em proporção se relacionam da seguinte maneira: Isolando o x como valor de horas, vamos ter: Concluímos que 4 torneiras levarão 37,5horas para encher 2 depósitos de 500m³. Cinco máquinas de costura fizeram 95 saias ontem. Se no dia de hoje só estarão disponíveis 3 máquinas, quantas saias serão feitas hoje? Observe que a variável máquinas é uma variável direta, ou seja, ao ter menos máquinas, serão feitas menos saias. Assim, se x representa o número de saias procurado, no seguinte diagrama obtemos que: Portanto, como a proporção de máquinas é igual à proporção de saias: Assim, o valor de x é:![]()
![]()
![]()
![]()
![]()
![]()
![]()
![]()
![]()
![]()
![]()
![]()

![]()
![]()
![]()
![]()
![]()
![]()
![]()

![]()
![]()
![]()
saias
Resumir com IA:

as atividades são excelentes