Temas
Explicação do método de substituição para sistemas de equações
O método de substituição, como o próprio nome sugere, o método consiste em substituir o valor de uma variável obtido em uma das equações do sistema e substituí-lo na outra equação.
Os sistemas de equações têm uma característica ou regra muito importante:
Quando um sistema de equação tem mais incógnitas (variáveis) que número de equações, então o sistema tem infinitas soluções, ou seja, cada variável pode assumir diferentes valores, desde que sempre satisfaça a equação. A quantidade de valores que cada variável pode assumir é infinita.
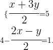
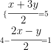
Dada a equação:
Observamos de que se trata de uma equação com duas variáveis. Podemos rapidamente identificar alguns dos valores que são solução:
Podemos notar que, existe uma infinita quantidade de valores que podemos atribuir a
e
para que sejam solução.
Por outro lado, quando o sistema tem mais equações do que incógnitas,, então o sistema tem uma única solução.
Exemplo de método de substituição
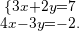
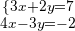
Equação I: 
Equação II: 
Resolvemos uma das duas variáveis em uma das duas equações (a preferência é para sempre escolher aquela que requer menos trabalho matemático para nossa conveniência). Neste caso, resolveremos
a Equação I.
Isso é chamado "Valor de
com relação à
"
A tradução para português da frase completa seria:
Substituímos o valor isolado na outra equação, neste caso, substituímos o valor de
na Equação II
Como podemos notar, agora na equação só resta a variável isolada
. A tradução para português da frase completa seria:
Esta equação pode ser simplificada e resolvida para obter o valor de
.
Uma vez que tenhamos o valor de uma das variáveis, neste caso o de
, podemos substituí-lo em uma das duas equações para encontrar o valor da outra variável, neste caso
.
E assim obtemos o valor das nossas variáveis em um sistema de equações e observamos que a solução é ÚNICA.
Exercícios propostos do método de substituição

Resolvemos
e a segunda equação e a simplificamos dividindo entre 2
Substituímos na outra equação o valor da variável
e resolvemos a equação
Substituimos o valor de
na segunda equação
Dessa forma, o resultado do sistema de equações é:


Resolvendo
da segunda equação
Substituímos na outra equação a variável
e resolvemos a equação
Substituimos o valor de
na segunda equação
Dessa forma, a solução para o sistema de equações é


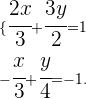
Removemos os denominadores na primeira equação multiplicando por 2 e organizamos a segunda

Isolamos
na segunda equação
Substituímos
na outra equação
Substituímos o valor de
no
resolvido
Portanto, a solução para o sistema de equações é


Removemos os denominadores

Resolvemos a segunda equação

Isolamos
na primeira equação
Substituímos na segunda equação e resolvemos a equação

Substituimos o valor de
na primeira equação
E, assim, a solução para o sistema de equações é 


Isolamos
na primeira equação 
Substituímos o valor de
na outra equação e resolvemos a equação
Substituimos o valor de
na primeira equação
Portanto, a solução para o sistema de equações é


Isolamos
na primeira equação
Substituímos o valor de
Substituímos na segunda equação e solucionamos a equação.
Substituímos o valor de
na primeira equação
Desta forma, concluímos que a solução para o sistema de equações é


Isolamos
na primeira equação
Substituímos o valor de
substituímos na segunda equação e solucionamos a equação.
Substituimos o valor de
na primeira equação
Portanto, a solução para o sistema de equações é


Isolamos
na primeira equação
Substituímos o valor de
na outra equação e resolvemos a equação

Substituimos o valor de
na primeira equação
Portanto, a solução para o sistema de equações é


Isolamos
na primeira equação
Substituímos o valor de
em outra equação e resolvemos a equação
Substituímos o valor
na primeira equação
Sendo assim, a solução do sistema de equações é


Vamos isolar
na primeira equação

Substituímos o valor de
na outra equação e resolvemos a equação
Substituímos o valor de
na primeira equação
Ou seja, a solução do sistema de equações é
Resumir com IA:









Gostei muito da ajuda foi muito bom
🙏
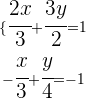
X+y=-11
-X-2y=20