Represente as seguintes funções, estudando os seguintes pontos:
- Domínio
- Simetria
- Pontos de corte com os eixos
- Assíntotas
- Crescimento e decrescimento
- Máximos e mínimos
- Concavidade e convexidade
- Pontos de inflexão

Dominio
Lembramos que, dependendo do tipo de função, podemos determinar o domínio. Neste caso
, trata-se de uma função polinomial, então seu domínio são todos os números reais, isto é,
.
Simetria
Para analisar a simetria, começamos avaliando a função em
, e teremos três possíveis casos:
1 A função é par se
,
2 A função é ímpar se
,
3 Ou não se aplica se não retornarmos à função original.
Neste caso:

Portanto, temos simetria em relação à origem, isto é, é uma função ímpar.
Pontos de corte com os eixos
Pontos de corte com
:
Temos corte nesse eixo quando
. Então começamos igualando a zero:

Portanto, obtemos zero quando:

Assim, os pontos de corte com o eixo
são:

Ponto de corte com
:
Há corte nesse eixo quando
. Então:

Portanto, o ponto de corte com o eixo
é:

Assíntotas
Para encontrar as assíntotas, precisaríamos de um ponto
tal que
.
Neste caso, temos uma função polinomial e, portanto, não possui assíntotas.
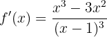
Crescimento e decrescimento
Para saber se uma função é crescente ou decrescente em um ponto, devemos encontrar os pontos críticos, ou seja, onde a derivada se anula. Calculamos a derivada
:

Vamos calcular os pontos críticos

Agora vamos analisar o sinal da função ao dividir o domínio em:
e
: 
Assim, a função é crescente no intervalo:
e decrescente em 
Para encontrar mínimos e máximos, avaliamos os pontos críticos na segunda derivada. Se o valor for positivo, temos um mínimo; se for negativo, temos um máximo.
e máximo em 
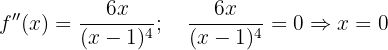
Concavidade e convexidade
Para analisar concavidade e convexidade, usamos a segunda derivada e verificamos onde ela se anula. Depois analisamos os intervalos onde é positiva ou negativa: se for positiva, a função é convexa; se for negativa, é côncava.

Então, a função é convexa no intervalo
e côncava em 

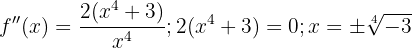
Pontos de inflexão
Há um ponto de inflexão em
quando:




Agora avaliamos o único ponto onde a segunda derivada se anula:

Como o resultado é diferente de zero, temos um ponto de inflexão em:

Representação gráfica


Dominio
.
Simetria
Observamos que:

Portanto, temos simetria em relação ao eixo
, ou seja, a função é par.
Pontos de corte com os eixos
Pontos de corte com
:

Então, os pontos de corte são:

Pontos de corte com
:
Notamos que:

Então, o ponto de corte é:

Assíntotas
Não possui assíntotas.
Crescimento e decrescimento
Calculamos os pontos críticos:

Igualamos a zero:

Agora verificamos o sinal ao segmentar o domínio:


Portanto, a função é crescente em
e decrescente em 
Avaliando os pontos críticos na segunda derivada
, obtemos que:
Os pontos mínimos são:

E como ponto máximo temos:

Concavidade e convexidade
Buscamos os pontos onde a segunda derivada se anula:

Observamos que:


Portanto, a função é convexa em
e côncava em
.
Pontos de inflexão
Calculando a terceira derivada, concluímos que os pontos de inflexão são:

Representação gráfica


Dominio
Eliminamos o ponto onde o denominador se anula:
portanto,

Simetria
Notamos que:

ou seja, a função não apresenta simetria.
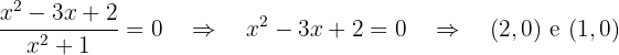
Pontos de corte com os eixos:
Pontos de corte com
:

Então, o ponto de corte é:

Ponto de corte com
:
Temos que:

Então, o ponto de corte é:

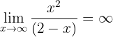
Assíntotas
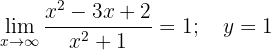
Assíntota horizontal:
As assíntotas horizontais são retas horizontais às quais a função se aproxima indefinidamente. Elas têm equação: 

Notamos que:

Então, não possui assíntota horizontal.
Assíntota vertical:
Assíntotas verticais são retas verticais às quais a função se aproxima indefinidamente sem nunca cortar. Elas têm equação:

Notamos que:

Portanto:

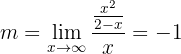
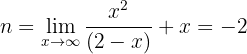
Assíntota oblíqua:
As assíntotas oblíquas têm equação:

onde:

Só buscamos assíntotas oblíquas quando não existe assíntota horizontal.
Neste caso:


Assim, a assíntota oblíqua é:

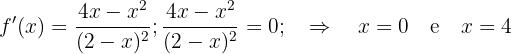
Crescimento e decrescimento
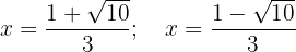
Primeiro encontramos os pontos críticos:

Igualando a zero:

Teremos como pontos críticos:

Agora verificamos os sinais ao segmentar o domínio:



Portanto:


Avaliando os pontos críticos na segunda derivada, obtemos:

Concavidade e convexidade
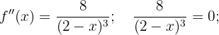
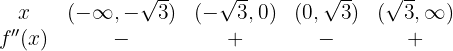
Calculamos a segunda derivada e encontramos onde ela se anula:

Avaliando nos intervalos:


Portanto, a função é convexa em
e côncava en 
Pontos de inflexão

Representação gráfica


Domínio
Eliminamos o ponto onde o denominador se anula

Simetria
Notamos que

Portanto, a função apresenta simetria em relação ao eixo
. É uma função par.
Pontos de corte com os eixos
Corte com o eixo
:
Igualamos a função a zero:

Como essa equação não tem solução real, não há pontos de corte com o eixo
.
Corte com o eixo
:
Analisando:

A expressão é indefinida, portanto não há ponto de corte com o eixo
.
Assíntotas
Assíntota horizontal:
Logo, não existe assíntota horizontal.
Assíntota vertical:
Assim, existe assíntota vertical em
.
Assíntota oblíqua:
Portanto, a função não possui assíntota oblíqua.
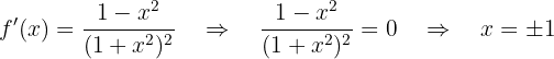
Crescimento e decrescimento
Observamos que

A análise de sinais mostra:


Portanto, a função é:
crescente em 
decrescente em 
Os pontos mínimos são:
e 
Concavidade e convexidade
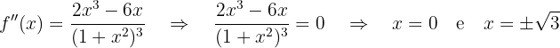
A segunda derivada é:

Como não há solução real para o termo entre parênteses, usamos a análise de sinais:


Logo, a função é convexa em todo o domínio, isto é, em: 
Pontos de inflexão
Não existe ponto de inflexão.
Representação gráfica


Domínio
Eliminamos o ponto onde o denominador se anula:

Simetria
A função não apresenta simetria.
Pontos de corte com os eixos
Ponto de corte com
:
Ponto de corte com
:
Assíntotas
Assíntota horizontal:
Notamos que

Portanto, não possui assíntota horizontal.
Assíntota vertical:
Assíntota oblíqua:

Assim, a assíntota oblíqua é:

Crescimento e decrescimento
Encontramos os pontos críticos:

Avaliando os intervalos:

Portanto, a função é crescente em:
e decrescente em:
.
Avaliando os pontos críticos na segunda derivada, obtemos:
Temos que
es mínimo e
máximo.
Concavidade e convexidade

Como não há solução, dividimos o domínio considerando o ponto 2, que não pertence ao domínio.
Assim:

Portanto, a função é:
convexa e
côncava.
Pontos de inflexão
Não há ponto de inflexão.
Representação gráfica


Domínio
Simetria
Temos simetria em relação à origem, ou seja, trata-se de uma função ímpar.
Pontos de corte com os eixos
Ponto de corte com
:

Então, o ponto de corte é:

Ponto de corte com
:

Portanto, o ponto de corte é:

Assíntotas
Assíntota horizontal:

A função não possui assíntotas verticais nem oblíquas.
Crescimento e decrescimento
Encontramos os pontos críticos:

Avaliando o sinal em cada intervalo do domínio:

Assim, a função é crescente em latex[/latex]
e decrescente em
.
Avaliando os pontos críticos na segunda derivada:


Concavidade e convexidade
Calculamos os pontos onde a segunda derivada se anula:

Agora analisamos os intervalos:

Portanto, a função é convexa em
côncava em
.
Pontos de inflexão

Representação gráfica


Domínio
Simetria
A função não apresenta simetria.
Pontos de corte com os eixos
Pontos de corte com
:

Ponto de corte com
:

Assíntotas
Assíntota horizontal:

A função não apresenta assíntotas verticais nem oblíquas.
Crescimento e decrescimento

Assim, os pontos críticos são:

Analisamos o sinal da derivada nos intervalos:

Portanto, a função é:
y decreciente de 
Avaliando os pontos críticos na segunda derivada, obtemos:


Representação gráfica


Domínio
Como a função envolve raiz de
, temos:

Simetria

A função não apresenta simetria.
Pontos de corte com os eixos
Ponto de corte com
:

Portanto, o ponto de corte é:

Ponto de corte com
:

Portanto, o ponto de corte é:

Assíntotas
A função não possui assíntotas.
Crescimento e decrescimento

Assim, os pontos críticos viriam de:

Como não há solução, analisamos apenas o intervalo do domínio:

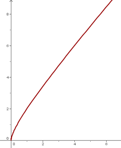
Portanto, a função é crescente em todo o domínio.
Máximos e mínimos
A função não possui extremos locais.
Concavidade e convexidade
Calculamos a segunda derivada e igualamos a zero:

Como não há solução, analisamos o intervalo do domínio:

Portanto, a função é côncava.
Pontos de inflexão
A função não possui ponto de inflexão.
Representação gráfica


Domínio
Simetria
A função não apresenta simetria.
Pontos de corte com os eixos
Ponto de corte com
:

Ponto de corte com
:

Assíntotas
Assíntota horizontal:
A função não possui assíntotas verticais nem oblíquas.
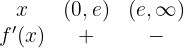
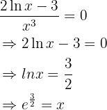
Crescimento e decrescimento

Verificando o sinal:

De onde podemos deduzir que a função é crescente de
e decrescente de 
Avaliando o ponto crítico na segunda derivada, obtemos:

Concavidade e convexidade
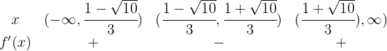
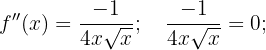
Calculamos a segunda derivada e encontramos os pontos que a anulam:

Segmentamos o domínio em
e verificamos o sinal:

Portanto, a função no intervalo
é convexa e no intervalo
é côncava.
Pontos de inflexão

Representação gráfica


Domínio
Simetria
A função não apresenta simetria.
Pontos de corte com os eixos
Ponto de corte com
:

Assim,
e o ponto de corte é:

Ponto de corte com
:

A função não corta o eixo
.
Assíntotas
Assíntota horizontal:
Assíntota vertical:
Crescimento e decrescimento
Calculamos os pontos críticos:

O ponto crítico é:

Analisando os intervalos:

Portanto:
• a função é crescente em
e decrescente em
. Encontramos um máximo em
.
Concavidade e convexidade
Igualando a segunda derivada a zero:

Segmentando o dominio e observando o sinal da segunda derivada concluímos que a função é convexa de
e côncava de
.
Representação gráfica

Resumir com IA:
