Calcule o termo desconhecido das seguintes proporções:

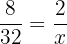
Em uma proporção o produto dos meios é igual ao produto dos extremos


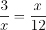
Em uma proporção o produto dos meios é igual ao produto dos extremos


Em uma proporção o produto dos meios é igual ao produto dos extremos


Em uma proporção o produto dos meios é igual ao produto dos extremos


Em uma proporção o produto dos meios é igual ao produto dos extremos

Exercícios sobre rodas
Duas rodas estão unidas por uma corrente transmissora. A primeira tem um raio de 25 cm e a segunda de 75 cm. Quando a primeira completar 300 voltas, quantas voltas terá dado a segunda?
São magnitudes inversamente proporcionais já que quanto maior o raio menos voltas
voltas
voltas
Então temos a seguinte regra de proporção inversa

voltas
Exercício sobre o custo de um hotel
Seis pessoas podem se hospedar em um hotel durante 12 dias por R$ 792. Quanto custará a hospedagem para 15 pessoas durante oito dias?
Quanto mais pessoas, mais dinheiro, portanto é uma proporção direta
Quanto mais dias, mais dinheiro, portanto é uma proporção direta


Então temos a seguinte regra de proporção direta

reais
Exercício sobre litros de tinta
Se com 12 latas de tinta de
cada uma, foi pintada uma grade com 90m de largura e 80 cm de altura. Calcule quantas latas de tinta de
serão necessárias para pintar uma grade similar com
de altura e
de longitude.
Quanto mais quilos de tinta menos latas, então é uma proporção inversa
Quanto mais
mais latas, então é uma proporção direta


Então temos a seguinte regra de proporção


Exercício sobre lavradores
lavradores lavram um campo retangular de
de comprimento e
de largura em
dias. Quantos trabalhadores rurais serão necessários para lavrar outro campo análogo de
de comprimento por
de largura em cinco dias?
Quanto mais superfície mais lavradores, então é uma proporção direta
Quanto mais dias menos lavradores, então é uma proporção inversa.


Então, temos a seguinte regra de proporção:


Exercício sobre volumes
Seis postos de combustível levam
horas para encher um depósito com
de capacidade. Quantas horas levariam quatro postos para encher
depósitos de
cada um?
Quanto mais postos menos horas, portanto é uma proporção inversa.
Quanto mais depósitos mais horas, portanto é uma proporção direta.
Quanto mais
mais horas, portanto é uma proporção direta.


Então temos a seguinte regra de proporção


Exercício sobre alunos
Dos
alunos de um colégio,
foram viajar.
Qual a porcentagem de alunos que foram viajar?
Aplicamos a proporção direta:
%
Então, temos a seguinte regra de proporção:

%
Exercício sobre desconto na compra de um veículo
Ao adquirir um veículo cujo preço é de R$
, nos fazem um desconto de
%. Quanto teremos que pagar pelo veículo?
Começamos fazendo a seguinte operação de proporção R$

R$

Então temos a seguinte regra de proporção


R$
- R$
reais
Também podemos calcular diretamente do seguinte modo:
Temos um desconto de
%, isto é, de cada R$
pagamos R$
a menos. Portanto, em vez dos R$
vamos pagar R$
.
R$

R$

Então temos a seguinte regra de proporção

reais.
Exercício sobre IVA na compra de um computador
O preço de um computador é de R$
sem IVA. Quanto pagaríamos pelo computador se o IVA é de
%?
Por causa do IVA há um aumento de
%, isto é, de cada R$
pagamos mais R$
, portanto, em vez de R$
pagaremos R$ 
R$

R$

Então, temos a seguinte regra de proporção:

reais
Exercício sobre desconto na compra de um monitor
Ao comprar um monitor que custa R$
ganhamos um desconto de
%. Quanto temos que pagar?
Temos um desconto de
%, isto é, de cada R$
pagamos R$
a menos. Portanto, em vez dos R$
vamos pagar R$
.
Solução:
R$


Então, temos a seguinte regra de proporção

reais
Exercício sobre lucro em revenda
Um artigo de loja é vendido com um lucro de
% sobre o preço de custo. Se ele foi comprado por R$
, encontre seu preço de venda.
Devido ao lucro, há um aumento de
% sobre o preço de custo, isto é,
de cada R$
vamos pagar R$
a mais. Portanto, em vez dos R$
pagaremos R$ 
R$


Então, temos a seguinte regra de proporção:

reais.
Primeiro exercício sobre venda de um artigo de loja
Qual vai ser o preço que teremos que etiquetar em um artigo cujo valor de compra subiu para R$
para obtermos
% de lucro ao vendê-lo?
Se o preço de compra é de R$
e ganhamos
% de lucro, então o preço da venda será de R$
.
venda compra
R$


Então, temos a seguinte regra de proporção,

reais
Segundo exercício sobre venda de um artigo
Qual o preço de venda que devemos colocar em um artigo comprado a R$
se queremos perder
% sobre o preço de venda?
Se o preço de venda é de R$
e perdemos
%, o preço de compra vai ser de R$
.
venda compra
R$

R$


reais
Terceiro exercício sobre venda de um artigo
Vendemos um objeto perdendo
% sobre o preço de compra. Encontre o preço de venda do objeto cujo valor de compra foi de R$
.
Se o preço de compra é de R$
e perdemos
%, o preço de venda será de R$
.
venda compra
R$

R$

Então temos a seguinte regra de proporção:

Resumir com IA:

as atividades são excelentes