Tabela da distribuição normal
A tabela de distribuição normal é utilizada para localizar valores definidos para a variável z.


Variável aleatória em distribuição normal
Se
é uma variável aleatória de uma distribuição
, encontre:
.
Se
é uma variável aleatória de uma distribuição
, encontre:
.
Neste caso, estamos utilizando uma distribuição normal estândar. Para resolver o problema usaremos a seguinte fórmula:


Agora temos que localizá-lo em nossa tabela de distribuição normal. Localizamos o valor quando
, mas precisamos do valor quando
, então utilizamos
obtemos
. Além disso, como a distribuição normal é simétrica, então
.

Quer dizer que, aproximadamente
dos valores de
estão a menos de três desvios padrão da média.
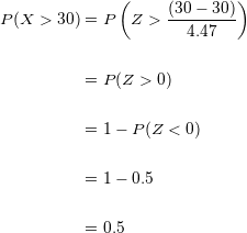
Distribuição normal, média e desvio padrão
Em uma distribuição normal de média
e desvio normal
, calcule o valor de a para que: 
Em uma distribuição normal de média
e desvio normal
, calcule o valor de a para que: 
Utilizando a fórmula
, vamos substituir o valor da média (
), e o desvio padrão (
).

Ao simplificarmos, obtemos:

Onde continuamos

Agora devemos localizar na tabela de distribuição normal o valor
e observamos que corresponde a
, então:

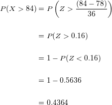
Distribuição normal aplicada à temperatura ambiental
Em uma cidade se estima que a temperatura máxima no mês de junho se mantém em uma distribuição normal com média de
e desvio padrão de
.
Calcule o número de dias do mês dos quais se esperam atingir máximas entre
e
.
Em uma cidade se estima que a temperatura máxima no mês de junho se mantém em uma distribuição normal com média de
e desvio padrão de
.
Calcule o número de dias do mês dos quais se esperam atingir máximas entre
e
.
Utilizando a fórmula
, vamos substituir o valor da média (
), e o desvio padrão (
).

Procuramos os valores correspondentes na tabela de distribuição normal:

Portanto

Isso quer dizer que durante todo o mês apenas
dias alcançarão temperaturas entre
e
graus.
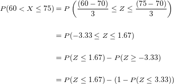
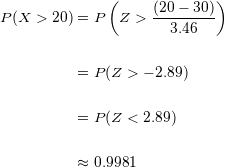
Distribuição normal aplicada ao peso dos alunos
A média do peso de
alunos de um colégio é
e o desvio padrão de
.
Supondo que os pesos são distribuídos normalmente, encontre quantos alunos pesam:
1. Entre
e
.
2. Mais de
.
3. Menos de
.
4.
.
5.
ou menos.
A média do peso de
alunos de um colégio é
e o desvio padrão de
.
Supondo que os pesos são distribuídos normalmente, encontre quantos alunos pesam:
1 Entre
e
.
Substituindo:

Localizando os valores na tabela de distribuição normal e operando:

Portanto, se multiplicarmos a probabilidade 
Dos
alunos
estão entre
e
quilos.
2 Mais de
.
Substituindo e simplificando temos:

Multiplicando a probabilidade por
obtemos
.
É impossível encontrar algum aluno acima dos
quilos.
3 Menos de
.
Substituindo e simplificando temos:

Multiplicando a probabilidade por
obtemos
alunos que pesam menos de
quilos
4
.
Quando a distribuição é contínua a probabilidade de que a variável tenha um valor exato é sempre nula (
). Portanto
.
5
ou menos.
Dados os resultados anteriores:
Existem zero alunos que pesam
quilos exatos e há
alunos que pesam menos de
quilos, portanto, existem
alunos que pesam
quilos ou menos.
\displaystyle 500 \cdot P(X < 64) = 500 \cdot P(X \leq 64) = 11[/latex].
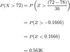
Distribuição normal para aplicar provas
Supõe-se que os resultados de uma prova mantém uma distribuição normal com média de
e desvio padrão de
.
Se pede:
1. Qual é a probabilidade de que uma pessoa que faça a prova obtenha uma qualificação superior a
?
2. Calcule a proporção de alunos que têm uma pontuação que exceda em, pelo menos, cinco pontos a marca entre apto e não-apto (são declarados não-aptos
dos alunos que tiveram os pontos mais baixos)
3. Sabendo que a qualificação de um aluno é maior do que
, qual é a probabilidade de que sua qualificação seja de fato superior a
?
Supõe-se que os resultados de uma prova mantém uma distribuição normal com média de
e desvio padrão de
.
Se pede:
1. Qual é a probabilidade de que uma pessoa que faça a prova obtenha uma qualificação superior a
?
Substituímos os valores na fórmula:

A probabilidade de que uma pessoa obtenha uma pontuação maior do que
ao fazer a prova é de
.
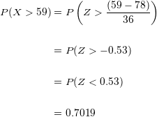
2 Calcule a proporção de alunos que têm uma pontuação que exceda em pelo menos cinco pontos a marca entre apto e não-apto (são declarados não-aptos
dos alunos que tiveram os pontos mais baixos).
Substituímos os valores na fórmula:

Localizamos a probabilidade
na tabela de distribuição normal, que é
. Isto significa que

Isolamos
:

Calculamos
:

A porcentagem de alunos que são aptos e que excedem em
pontos a marca de não-aptos é de
.
3 Sabendo que a qualificação de um aluno é maior do que
, qual é a probabilidade de que sua qualificação seja de fato superior a
?
Substituímos:

Com o primeiro cálculo deste exercício sabemos que a probabilidade de que um aluno obtenha uma pontuação maior do que
pontos ao fazer a prova é de
.

Agora utilizaremos a fórmula de probabilidade condicional:

Substituímos:

A probabilidade de que um aluno que obteve uma pontuação maior do que
tenha conseguido de fato uma pontuação acima de
é de
.
Distribuição normal para classificar grupos
Após um teste de cultura geral podemos observar que os pontos obtidos mantém uma distribuição
.
Desejamos classificar os examinados em três grupos (de baixa cultural geral, de cultura geral aceitável e de excelente cultura geral) de modo que no primeiro grupo estejam
dos examinados,
no segundo grupo e
no terceiro grupo.
Quais são as pontuações que marcam a transição de um grupo ao outro?
Após um teste de cultura geral podemos observar que os pontos obtidos mantém uma distribuição
.
Desejamos classificar os examinados em três grupos (de baixa cultural geral de cultura geral aceitável e de excelente cultura geral) de modo que no primeiro grupo estejam
dos examinados,
no segundo grupo e
no terceiro grupo.
Quais são as pontuações que marcam a transição de um grupo ao outro?

Localizamos na nossa tabela o parâmetro correspondente à probabilidade
, que é
:

Desse modo, se
. Então

Agora localizamos na tabela o parâmetro para a probabilidade de
, que é
. O que significa que

Desse modo, se
. Então

De baixa cultura até
pontos.
De cultural aceitável entre
e
.
De excelente cultura a partir de
pontos.
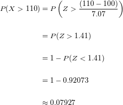
Cálculo de coeficiente intelectual através de distribuição normal
Vários testes de inteligência deram uma pontuação que mantém uma lei normal com média de
e desvio padrão de
.
1 Determine a porcentagem de examinados que obteriam um coeficiente entre
e
.
2 Qual o intervalo centrado em
que contém
dos examinados?
3 Em uma população de
indivíduos, se espera que quantos obtenham um coeficiente superior a
?
Vários testes de inteligência deram uma pontuação que mantém uma lei normal com média de
e desvio padrão de
.
1 Determine a porcentagem de examinados que obteriam um coeficiente entre
e
.
Substituímos os valores na fórmula:

A porcentagem de examinados que obteriam uma pontuação entre
e
é de
.
2 Qual o intervalo centrado em
que contém
dos examinados?

Como queremos pegar
do centro de examinados, então devemos pegar o intervalo que está entre
e 
Localizamos na tabela o parâmetro para a probabilidade de
e de 

Substituímos e isolamos

e

Então o intervalo é:
.
O intervalo centrado que contém
dos examinados obterá uma pontuação entre
e
.
3 Em uma população de
indivíduos, se espera que quantos obtenham um coeficiente superior a
?
Substituímos os valores na fórmula, calculamos o parâmetro e localizamos a probabilidade na tabela

Multiplicando esta probabilidade pelos
indivíduos, obtemos

Em uma população de
indivíduos, se espera que
deles tenham um coeficiente superior a
.
Uso da distribuição normal para calcular probabilidade
Em uma cidade, uma em cada três famílias possuem telefone.
Se escolhemos
famílias ao acaso, calcule a probabilidade de que entre elas existam pelo menos
com telefone.
Em uma cidade, uma em cada três famílias possuem telefone.
Se escolhemos
famílias ao acaso, calcule a probabilidade de que entre elas existam pelo menos
com telefone

n: Quantidade de famílias para escolher.
p: Probabilidade de escolher uma família que tenha telefone.
q: Complemento da probabilidade.
Para resolver este tipo de exercício usaremos o Teorema de Moivre-Laplace para Probabilidade:.
Se
é uma variável aleatória binomial de parâmetros
y
,
, então
pode ser aproximado de uma distribuição normal de média
e desvio padrão
(onde
) se se cumpre as duas condições seguintes:
Condição 1.
.
Condição 2.
.
Então, a variável binomial
ficaria aproximada pela variável normal
.
Como
, é cumprida a condição 1.

Então, é cumprida a condição 2.
Então utilizamos a fórmula
.
Substituímos os dados:

Agora utilizamos a fórmula de distribuição normal

Substituímos, operamos e localizamos o valor da probabilidade na nossa tabela de distribuição normal:

Ao escolher
famílias ao acaso, existe uma probabilidade de
de que pelo menos
famílias possuam um telefone.
Probabilidade de um evento com variável aleatória
Em uma prova há
perguntas de múltipla escolha. Cada pergunta tem uma resposta correta e uma incorreta.
Estará aprovado quem responde mais de
respostas corretas.
Supondo que as perguntas sejam respondidas ao acaso, calcule a probabilidade de aprovação na prova.
Em uma prova há
perguntas de múltipla escolha. Cada pergunta tem uma resposta correta e uma incorreta.
Estará aprovado quem responde mais de
respostas corretas.
Supondo que as perguntas sejam respondidas ao acaso, calcule a probabilidade de aprovação na prova
Utilizamos o Teorema de Moivre-Laplace para Probabilidade:
Comprovamos as
condições:
Primeira condição:

Segunda condição: 
Como ambas condições se cumprem, usaremos a fórmula
.
Substituímos:

Agora utilizaremos 

Ao responder ao acaso em uma prova de múltipla escolha existe a probabilidade de
de aprovação.
Distribuição normal para probabilidade
Um estudo mostrou que em um bairro,
dos lares têm pelo menos duas televisões. Escolhemos ao acaso uma amostra de
lares em tal bairro.
Se pede:
1 Qual é a probabilidade de que pelo menos
dos lares citados tenham ao menos duas televisões?
2 Qual é a probabilidade de que entre
e
de lares tenham ao menos duas televisões?
Um estudo mostrou que em um bairro,
têm pelo menos duas televisões. Escolhemos ao acaso uma amostra de
lares em tal bairro.
Se pide:
1 Qual é a probabilidade de que pelo menos
dos lares citados tenham ao menos duas televisões?
Utilizamos o Teorema de Moivre-Laplace para Probabilidade. Comprovamos se se cumprem as
condições:

Como ambas condições são cumpridas, usaremos a fórmula
.
Substituímos:

Agora utilizaremos
.
Substituímos:

2 Qual é a probabilidade de que entre
e
dos lares tenham ao menos duas televisões?
Utilizando a fórmula
, vamos substituir o valor da média
e o desvio padrão 

A probabilidade de que entre
e
lares tenham ao menos
televisões é de
.
Resumir com IA:








