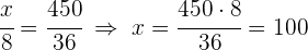
Um avô reparte
entre seus três netos de
e
anos de idade; proporcionalmente às suas idades, quanto corresponde a cada um deles?
Um avô reparte
entre seus três netos de
e
anos de idade; proporcionalmente às suas idades, quanto corresponde a cada um deles?
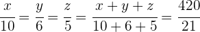
1 Por ser um problema de proporcionalidade direta, podemos estabelecer as seguintes igualdades

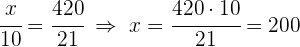
2 Resolvendo cada incógnita


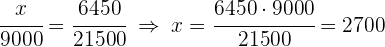
Três indivíduos fazem negócios com um capital de
e
. Ao final de um ano lucraram
. Qual a quantidade que corresponde a cada um se fizermos uma divisão diretamente proporcional aos capitais investidos?
Três indivíduos fazem negócios com um capital de
e
. Ao final de um ano lucraram
. Qual a quantidade que corresponde a cada um se fizermos uma divisão diretamente proporcional aos capitais investidos?
1 Por ser um problema de proporcionalidade direta, podemos estabelecer as seguintes igualdades:

2 Resolvendo cada incógnita:

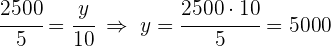
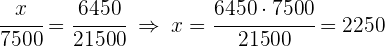
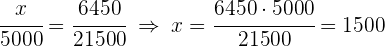
Uma quantidade de dinheiro é repartida entre três pessoas, diretamente proporcional a
e
. Sabendo que à segunda pessoa corresponde
, encontre quanto corresponde à primeira e terceira pessoa.
Uma quantidade de dinheiro é repartida entre três pessoas, diretamente proporcional a
e
. Sabendo que à segunda pessoa corresponde
, encontre quanto corresponde à primeira e terceira pessoa.1 Por ser um problema de proporcionalidade direta, podemos estabelecer as seguintes igualdades

2 Calculamos as incógnitas faltantes


Uma quantidade de dinheiro é repartida em
e
; corresponde ao menor a quantidade de
. Quanto corresponde aos outros dois?
Uma quantidade de dinheiro é repartida em
e
; corresponde ao menor a quantidade de
. Quanto corresponde aos outros dois?
1 Propomos as seguintes igualdades da proporcionalidade direta e calculamos as incógnitas faltantes


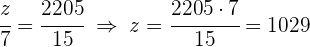
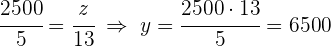
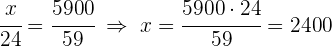
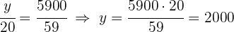
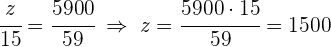
Três irmãos ajudam a manter sua família entregando anualmente R$ 5900. Se suas idades são de 20, 24 e 32 anos e as contribuições são inversamente proporcionais à idade, quanto contribui cada um?
Três irmãos ajudam a manter sua família entregando anualmente
. Se suas idades são de
e
anos e as contribuições são inversamente proporcionais à idade, quanto contribui cada um?Solução: 1 Por ser uma contribuição inversamente proporcional, temos que pegar o oposto das idades

2 Passamos para denominador comum

3 Fazemos uma divisão diretamente proporcional aos numeradores:
e 




Reparta
, entre três garotos em partes inversamente proporcionais às suas idades, que são
e
.
Reparta
, entre três garotos em partes inversamente proporcionais às suas idades, que são
e
.
Solução:1 Por ser uma divisão inversamente proporcional, temos que pegar os opostos das idades

2 Passamos para denominador comum

3 Fazemos uma divisão diretamente proporcional aos numeradores:
e 




Durante quanto tempo deve-se manter um capital de
com juros de
para que ele se converta em
?
Durante quanto tempo deve-se manter um capital de
com juros de
para que ele se converta em
?
Solução:1 Calculamos o lucro obtido:

anos
Emprestam
e ao final de um ano,
meses e
dias recebem
. Calcule a porcentagem de lucro.
Emprestam
e ao final de um ano,
meses e
dias recebem
. Calcule a porcentagem de lucro.Solução:1 Calculamos o tempo em dias
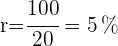
dias
2 Calculamos o lucro


3 Calculamos o rendimento

Encontre a porcentagem de lucro simples de um empréstimo de capital para que ao final de
anos os lucros sejam equivalentes ao capital emprestado.
Encontre a porcentagem de lucro simples de um empréstimo de capital para que ao final de
anos os lucros sejam equivalentes ao capital emprestado.Solução:1 O lucro é igual ao capital

2 Substituímos
pela fórmula de lucro

3 Produtos dos extremos é igual ao produto dos meios

4 Se temos
, então
. Desse modo podemos isolar o rendimento

5 Simplificamos a fração


Quanto tempo leva para triplicar um capital com um juros de
?
Quanto tempo leva para triplicar um capital com um juros de
?
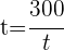
Solução:1O lucro é igual ao triplo do capital

2Substituímos o lucro pela sua fórmula, isolamos o tempo e simplificamos



anos.
Resumir com IA:

as atividades são excelentes