A estatística pode ser entendida como a ciência que estuda a coleta, o registro, a análise e a distribuição de dados. É a partir dela que surgem os estudos de probabilidade, frequência, ocorrência e intercorrência de diversos fatores (trata-se de algo muito amplo, que se aplica a todas as áreas de estudo, e não somente às ciências exatas). A análise interpretação dados é o tópico central de seu objeto de estudo, visto que meros números só passam a fazer sentido quando transformados em informações.
Em uma aula de estatística básica, por exemplo, você vai aprender os primeiros passos, visto que há aplicações muito mais complexas. Fórmulas para calcular a média, a mediana, a variância e medidas de dispersão como o desvio padrão devem fazer parte do rol de quem faz esses cálculos. Normalmente se aprende isso nas aulas matemática do Ensino Médio. Fazer exercícios nesse sentido faz parte da estatística básica e coloca você em contato com o tema antes de partir para abordagens mais complexas como a estatística descritiva e a tendência central média.
Na Antiguidade, seus primeiros usos se relacionavam ao registro de mortes e nascimentos, até que percebeu-se que ela poderia ser usada em muitas outras aplicações. Hoje em dia, é comum que se veja pesquisa de intenções de voto, previsões do tempo e avaliações de satisfação de produtos no mercado. Para tudo isso, é a estatística que está por trás. Ela traria uma nova visão em estudos bem complexos. Mas o ponto de partida pode estar na sua primeira aula estatística da escola. E é importante ter a consciência de que tal estudo não se resume a moda, mediana e média.
Quer saber mais sobre a estatística básica? Então acompanhe a leitura abaixo:
O que estuda a estatística básica?
Empresas de diversos setores precisam tomar decisões o tempo todo. E não é seguro basear-se em achismos ou intuições, mas sim em matemática. Uma análise de dados numéricos (variável quantitativa) ou não-numéricos (variável qualitativa) ajuda a conhecer o passado para criar o futuro. Com base em evidências e históricos, é possível tomar ações que têm maiores chances de trazer resultados positivos. A estatística básica é a que você aprende nas aulas Ensino Médio.

Ela consiste em realizar uma coleta de dados, que seguirão para análise. Essa parte inclui cálculos como média aritmética e frequência absoluta, além de medidas dispersão, variabilidade e medidas tendência central. Representar, interpretar, ilustrar... toda técnica é válida para que tais dados sejam aproveitados da melhor maneira. Leve em conta que, quanto melhor a qualidade dos dados coletados, mais estreito será o intervalo confiança, o que significa uma margem de erro pequena.
Um exemplo clássico do uso da estatística básica está relacionado às medidas de contenção da pandemia da Covid-19. Os dados relacionados a casos confirmados, internações e mortes em cada região ajudaram os governantes a tomar decisões no que diz respeito à recomendação de isolamento social, restrição do funcionamento do comércio local e até mesmo avaliação da necessidade de hospitais de campanha. Trata-se de uma ciência que está presente em muitas decisões, tanto as mais simples quanto as mais complexas.
É claro que há casos que demandam uma análise mais detalhada e profunda, e são esses que fogem ao conhecimento adquirido em uma estatística aula matematica de conceitos básicos do Ensino Médio. Por outro lado, é possível fazer muito com esses conhecimentos, já que cálculos simples podem ser suficientes para determinar probabilidades e frequências.
Como calcular estatística básica?
Os quatro principais cálculos da estatística básica são a média, desvio padrão, mediana e moda. Não estamos falando em variáveis aleatórias, mas em um conjunto dados retirados de um espaço amostral e organizados em forma de um conjunto de dados agrupados. Se você perguntasse ao seu professor de aulas particulares como se calcula a estatística, ele certamente pediria que você fosse mais específico, dizendo que elemento estatístico exatamente deseja calcular. Para ajudá-lo com essa dúvida, listamos aqui os principais cálculos praticados na estatística básica:

1. Média
Não estamos falando em média aritmética ponderada, ou em qualquer outro "segredo", mas em um cálculo simples que consiste em somar todos os elementos de um conjunto para, em seguida, dividir o resultado obtido pelo número de elementos do mesmo. Vamos imaginar que você tem o seguinte: 5,4,4,3.
A média seria igual a 5+4+4+3 = 16, dividido por 4 (número de elementos) = 4.
2. Moda
A moda pode ser definida como o elemento que aparece com maior frequência no conjunto. No exemplo que citamos acima, ela é representada pelo número 4 (que é o único que aparece duas vezes).
Quando não há números repetidos em um conjunto, dizemos que ele não tem moda.
3. Mediana
A mediana dados agrupados em conjunto é o elemento central do mesmo. Em caso de um número par de elementos, ela é calculada pela média dos dois elementos centrais. No exemplo acima, temos 4 elementos (número par).
Nesse caso somamos os dois elementos centrais: 4+4 e dividimos por 2 para tirar a média. A mediana desse conjunto é 4.
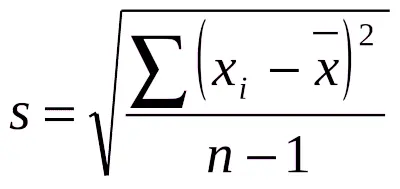
4. Desvio padrão
Nesse caso, o cálculo é um pouco mais complexo.
Temos a fórmula.

Elementos:
∑: Soma de elementos de (i=1) até n
xi: valor na posição i no conjunto de dados
MA: média aritmética dos dados
n: quantidade de dados
Ela consiste em cada elemento menos a média do conjunto ao quadrado. Dividimos tudo pelo número de elementos e extraímos a raiz quadrada. No caso acima, ficaria assim:
(5-4)2 + (4-4)2 + (4-4)2 + (3-4)2 = 1 + 0 + 0 + 1 = 2
2 dividido por 4 = 0,5 (esse cálculo é chamado de variância)
A raiz quadrada de 0,5 = 0.70710678118. Esse é o resultado do cálculo do desvio padrão.
Conceitos básicos da estatística
Para entender melhor a estatística básica, é importante conhecer seus principais conceitos. Vamos lá?

- Planejamento - Por que você precisa realizar determinada pesquisa? Onde serão aplicados os dados? De que forma eles vão ajudá-lo na tomada de decisão? Para realizar uma pesquisa com propósito, planejar é essencial. Estamos falando do momento no qual se decide todo o processo, desde a coleta de dados até a sua aplicação;
- Coleta de dados - Uma vez planejado, é hora de sair a campo. Escolha a sua amostragem e extraia dela as informações necessárias. Os dados podem estar em valores ou em variáveis qualitativas;
- Organização dos dados - Para variáveis quantitativas, você pode usar um rol para dispor os dados de maneira organizada, em ordem crescente ou decrescente. Essa distribuição frequências vai facilitar o seu trabalho futuro;
- Análise dos dados - Não estamos falando em um experimento aleatório espaço e tampouco de medidas de um espaço amostral eventos. Na verdade, é nessa etapa que você vai buscar encontrar nos dados alguma evidência que seja útil para a sua pesquisa;
- Interpretação dos resultados - De nada adianta saber calcular média, variância, desvio padrão ou mediana do conjunto dados se você não souber, de fato, para que servem esses valores. É importante entender de que forma eles levam você até os resultados esperados. Caso contrário, não passariam de um emaranhado e informações que não fazem nenhum sentido;
- Conclusões preliminares - Aqui, você começa a desenhar a conclusão da sua pesquisa. Com base na análise e interpretação dos dados, será possível obter a resposta que você procurava quando decidiu iniciar a fase do planejamento. Existem estudos muito mais complexos, que demandam outras fases de comparações para uma conclusão final. Mas, após a primeira interpretação de dados, já é possível obter um parecer que leve aos resultados da avaliação.
Após passar por todas essas fases, o seu estudo estatístico ganha uma forma diferente, como se o estudo daquela população se tornasse algo útil para decisões futuras. E isso tudo ainda pode ser representado em gráficos ou uma tabela.
Como ter aula de estatística básica?
Se você deseja trabalhar com estatística, provavelmente o que você aprendeu na aula de matemática do Ensino Médio não será suficiente. Por mais que tenha assistido a vídeo aulas sobre probabilidade ou que tenha feito um curso de matemática online ou rápido de estatística descritiva, será necessário se aprofundar em alguns conceitos. Pode ser que você precise somente da estatística básica mesmo, e é importante focar nessa vertente.
Aqueles tópicos que o professor pede aos alunos para estudarem para o ENEM (Exame Nacional do Ensino Médio) são um ponto de partida.

Mande bem no ENEM
Aproveite a oportunidade para fazer exercícios, estudar vídeos e slides, além de entender o suficiente de matemática e aritmética. Tudo isso vai ajudá-lo a estudar gráficos e interpretar uma tabela.
Para começar, teste uma hipótese ou calcule um intervalo de regressão.
Entretanto, nem todas as pessoas conseguem estudar sozinhas. Se você realmente deseja se iniciar no mundo da estatística, o melhor a fazer é contratar um professor particular para aulas personalizadas. Esse profissional vai trabalhar focado diretamente na sua necessidade. Ele vai ensiná-lo a dividir uma população em uma classe menor, escolher uma amostragem funcional e fazer os cálculos simples como medidas de dispersão e frequências.
As aulas podem acontecer na sua casa, no espaço do professor ou até mesmo online. Isso otimiza o seu tempo e as ferramentas que melhor funcionam para o seu aprendizado. Aqui em nossa plataforma Superprof, você pode encontrar um professor particular de estatística na sua região. E estudar de acordo com o que você precisa, estando como iniciante, na faculdade ou se preparando para uma prova importante.
E você? Já fez aulas do básico de estatística? Deixe seu comentário abaixo e compartilhe conosco.
Resumir com IA:









