Um dos conceitos mais simples e úteis de entender no cálculo é aprender a resolver as equações de primeiro e segundo grau. Essas são as duas principais equações que formam a base de todas as outras equações que envolvem números complexos, como a equação cúbica, quadrática, a hipérbole e a parábola. Embora possa ser bastante difícil para um estudante entender essas equações, é importante lembrar que elas formam a base de quase todos os cursos avançados de matemática no cálculo. Portanto, é fundamental dominar as técnicas para resolver problemas nessa área.
Uma equação de primeiro grau é uma equação cuja solução é dada primeiramente pelo produto de suas variáveis (neste caso, x) e pelo valor médio de suas fórmulas integrais, como a matriz integral. Uma equação de segundo grau é o oposto de sua homóloga de primeiro grau. Assim, a solução de uma equação de primeiro grau será sempre a soma de suas variáveis, enquanto as soluções de uma equação de segundo grau serão sempre iguais aos valores de primeiro grau de suas respectivas variáveis. Além disso, as soluções das equações de terceiro grau também são iguais aos valores de suas respectivas variáveis, mas isso ocorre raramente.
Em geral, para resolver uma equação de primeiro grau, devemos seguir os seguintes passos:
- Eliminar parênteses.
- Eliminar denominadores.
- Agrupar os termos em um membro e os termos independentes no outro.
- Reduzir os termos semelhantes.
- Isolar a incógnita.
Exemplos:
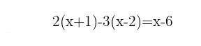
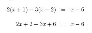
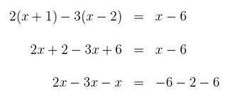
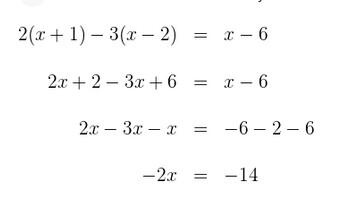
Resolva: 
- Tiramos o parêntesis
- Agrupamos os termos x em um lado e os termos independentes no outro.
- Simplificamos os termos semelhantes:
- Isolamos a incógnita
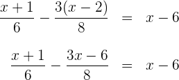
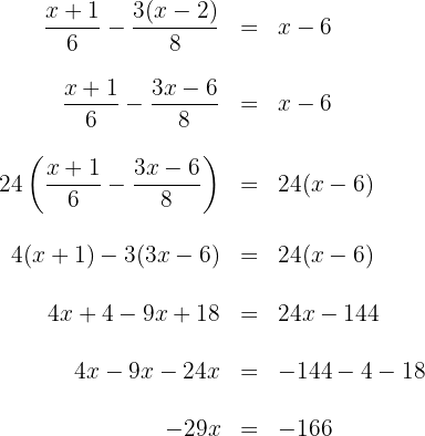
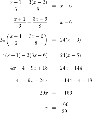
Exemplo:
Resolva:

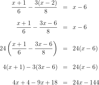
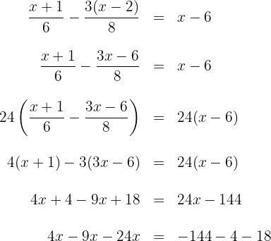
1) Começamos eliminando os parênteses:

2) Então, eliminamos os denominadores multiplicando ambos os lados pelo mínimo múltiplo comum (MMC: 6, 8) = 24

3) Agrupamos os termos x de um lado e os independentes, de outro:

4) Simplificamos os termos

5) Isolamos a incógnita:

Seguindo esses passos, conseguimos obter o resultado do problema.





Exercícios desatualizado