Definição de logaritmo
Expoente do qual temos que elevar a um número, chamado base, para obtermos outro número determinado. Um logaritmo procura o expoente de uma base
que tenham sido usada para chegar a um determinado resultado
.
Exemplo:
Se tenho uma base e
como resultado, então a qual expoente devemos elevar o
para obtermos
como resultado? Como podemos observar, o valor do expoente que utilizamos para chegar ao resultado
com a base
é
.
A notação correspondente para representar um logaritmo é a seguinte:
onde é a base,
é o resultado e
o expoente que procuramos. Lembre-se que devemos cumprir as condições para que a base seja positiva
e diferente de um.
A partir da definição de logaritmo podemos dizer que:
- Não existe logaritmo com base negativa.
- Não existe logaritmo de um número negativo.
- Não existe o logaritmo de zero.
- O logaritmo de 1 é zero.
- O logaritmo com base
a de
a é igual a
.
- O logaritmo com base
a de uma potência com base
a é igual ao expoente.
Propriedades dos logaritmos
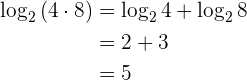
1 O logaritmo de um produto é igual a soma dos logaritmos dos fatores:

Exemplo:

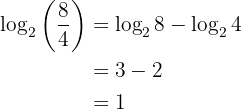
2 O logaritmo de uma quociente é igual ao logaritmo do dividendo menos o logaritmo do divisor:
Exemplo:

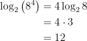
3 O logaritmo de uma potência é igual ao produto do expoente pelo logaritmo da base:
Exemplo:

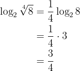
4 O logaritmo de uma raiz é igual ao quociente entre o logaritmo do radicando e o índice da raiz:

Exemplo:

5 Mudança de base:
Exemplo:

Os logaritmos se tornaram desde sua criação em uma ferramenta importante para o cálculo de operações com números muito grandes, já que têm a propriedade de trabalhar com expoentes e converter os problemas de multiplicação em problemas de soma. Graças às suas propriedades, o logaritmo também permite simplificar diversas operações matemáticas, por isso vale a pena estudá-los.