Seja bem-vindo e bem-vinda aos exercícios de equações da reta no plano! Nesta série de exercícios, mergulharemos no emocionante mundo da geometria analítica e aprenderemos a representar e compreender as retas no plano cartesiano.
A equação da reta é uma ferramenta fundamental para descrever a relação linear entre variáveis e entender como elas se comportam em função das mudanças em uma ou mais dimensões. Através desses exercícios, exploraremos diferentes formas de expressar a equação de uma reta, como a forma contínua, a forma ponto-pendente ou até mesmo a forma geral.
A equação da reta é uma ferramenta fundamental para descrever a relação linear entre variáveis e entender como elas se comportam em função das mudanças em uma ou mais dimensões. Através desses exercícios, exploraremos diferentes formas de expressar a equação de uma reta, como a forma contínua, a forma ponto-pendente ou até mesmo a forma geral.
Distância entre pontos e retas
Calcule a distância do ponto
á reta
da equação 
Para uma equação da
expressa em sua forma ordinária
e um ponto
, é possível calcular sua distância através da seguinte fórmula:

Neste caso, os coeficientes e as coordenadas do ponto são determinados da seguinte maneira:

Fazendo a substituição destas variáveis na fórmula anterior, vamos obter

Ou seja, a distância entre
e
é igual a

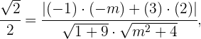
Encontre a distância entre
e 
Considerando as retas
y
, acontece um e apenas um dos cenários seguintes: ou eles são paralelos ou têm algum ponto em comum.
Se forem retas paralelas, elas são distintas ou coincidem. Ou seja, são distintas ou são a mesma reta. É por isso que, antes de calcular a distância entre duas retas, é necessário calcular a inclinação para determinar em qual caso estamos.
Se tiverem a mesma inclinação, serão retas paralelas; caso contrário, se cruzarão em algum ponto.
Para uma equação da reta
expressa em sua forma ordinária
a inclinação delas é determinada pela expressão.
.
Então, particularmente
e
, tem inclinações
e 
Dado que ambas retas têm a mesma inclinação, podemos concluir que são paralelas. Denominamos essa relação como tal. 
Dado que
, deve-se verificar se são a mesma reta ou diferentes. Para isso, é suficiente encontrar um ponto em comum.
que não pertença a
. Com essa ideia em mente, vamos realizar a próxima etapa
a equação de
para obter
; isso implica que
é um punto na reta
mas não é um ponto em
pois

isso confirma que este ponto não satisfaz a equação que define o
. Desta forma, podemos concluir que
e
são retas distintas.
Agora, vamos encontrar um ponto
de qualquer uma delas e calculamos a distância deste ponto à reta restante. Vamos utilizar
pois já sabemos que
.
Finalmente, usando a fórmula

vamos obter

Uma reta é paralela àquela que tem a seguinte equação
, e é distante
unidades da origem. Qual é sua equação?
Vamos chamar a reta que estamos procurando de
. Como sabemos, duas retas são paralelas se os coeficientes
e
respectivos são proporcionais, e como deve ocorrer que
e, em particular, os coeficientes iguais são proporcionais, a equação que descreve
deve ser da forma
.
Por outro lado, vamos lembrar que a distância de um ponto
a uma reta
pode ser encontrado através da fórmula

Se o ponto
resulta ser a origem, então a fórmula anterior se reduz a

Isso significa que
deve cumprir com

Vamos observar que realmente existe um par de retas que têm distância
com a origem e que são paralelas entre si, é por isso que

>E assim, as equações desse par de retas são dadas por
.
Considerando o quadrilátero
cujos vértices são
e
. Calcule a sua área.

Vamos começar observando que a área que estamos procurando é o resultado da multiplicação das magnitudes
e
. Então, vamos proceder com o cálculo de cada magnitude.


Ao multiplicar os resultados anteriores se obtém


Portanto, a área do quadrilátero é de 20.
Ângulos entre retas
Calcule o ângulo que formam as retas
e
, sabendo que seus vetores diretores são:
e 
Se
e
são um par de vetores não nulos, o ângulo formado entre eles é o único número real.
que satisfaz

onde

e

Fazendo os cálculos correspondentes, temos que



Portanto,
e assim 
Calcule o ângulo que formam as retas
e 
Para calcular o ângulo que formam duas retas podemos usar a seguinte fórmula:

onde
e
as inclinações das retas são
e
respectivamente.
Uma vez que a equação da reta esteja escrita da forma
, o coeficiente que acompanha
, isso significa que
, é a inclinação. Com isso em mente e representado
e
como a seguir


inferimos que
e 
Assim, na substituição, obtemos


Portanto
.
Encontre uma reta paralela e outra perpendicular a
, que passem pelo ponto
.
Devemos lembrar que duas retas serão paralelas se tiverem a mesma inclinação. Portanto, para encontrar uma reta paralela a
primeiro devemos conhecer sua inclinação.
Notamos que a definição de
é equivalente a

e com esta expressão, podemos facilmente conhecer a inclinação dessa reta, pois é o coeficiente que acompanha a
, ou seja
.
Chamando
de reta paralela a
que passa pelo ponto
e
em sua inclinação, encontramos que
onde
é a inclinação de de
.
Agora com as coordenadas de
podemos fazer uso da equação ponto-inclinação da reta, que está descrita por
.
Substituindo, entende-se que


Com estes cálculos podemos concluir que
, com
.
Para encontrar uma reta perpendicular a
seguiremos o mesmo pensamento anterior, mas com uma condição diferente na inclinação; vamos nomear
a reta perpendicular que desejamos encontrar. Neste caso sua inclinação
deve satisfazer a condição
para garantir sua perpendicularidade. Então
, pois
.
Usando mais uma vez a equação ponto-inclinação da reta e das coordenadas de
, vamos ter que

E assim
fica definida pela equação
, onde
.
Encontre a equação da mediatriz do segmento de extremos
e
.
Dado um segmento, sua mediatriz é o lugar geométrico dos pontos do plano equidistante dos extremos. Em termos matemáticos isso vai se traduzir aos pontos
que satisfazem a igualdade
para
e
extremos. Vamos levar em consideração que
e 
Para encontrar a equação desejada, procedemos igualando essas equações e simplificando os termos.


e multiplicando a equação por
podemos simplificar a equação ainda mais, ao obter a expressão

Encontre as equações das bissetrizes dos ângulos que determinam as retas
e
.

Considerando duas retas que se cruzam, a bissectriz do ângulo que formam é o lugar geométrico dos pontos no plano que ficam equidistantes a estas. Então, vamos procurar a equação que descreva aos pontos
de forma que

Por outro lado, a fórmula da distância de um ponto
a uma reta
é dada pela expressão

Da fórmula anterior, vamos continuar com

e

Fazendo
, vamos obter

E multiplicando esta última por
entender que

Daqui, pelo valor absoluto, vamos obter duas equações:

e

onde cada uma vai descrever a equação, isso nos dará a equação das respectivas bissetrizes.
Para a primeira equação vamos obter

Enquanto que, para a segunda,

Calcule a equação da reta perpendicular a
que passa pelo ponto
.
Vamos notar que a inclinação da reta
é
, pois, ao ser expressa na forma
,a inclinação é simplesmente o coeficiente que acompanha
.
Se
é a equação da reta perpendicular a
que passa por
Então, sua inclinação deve ser
, pois o produto de ambas as inclinações deve dar como resultado -1, para obter a ortogonalidade.
Agora com as coordenadas de
podemos fazer uso da equação ponto-inclinação da reta, que está descrita como 
Substituindo, conclui-se que a equação procurada é

ou ao equivale a

Calcule as bissetrizes dos ângulos determinados pelas retas:
Dadas duas retas que se cruzam, a bissetriz do ângulo que forma é o conjunto de pontos no plano que estão equidistantes delas. Portanto, estamos buscando a equação que descreve os pontos
de forma que
.
Desta forma,

e

Fazendo
, obtemos

E multiplicando esta última por
podemos concluir que

A partir disso, ao usar o valor absoluto, obtemos duas equações:
e 
onde cada uma descreverá a equação das respectivas bissetrizes
Para a primeira equação, vamos ter

Enquanto que, para a segunda,

Encontre o ângulo que formam as retas que têm as equações:
a.

b.


a.
Como as equações das retas se encontram em sua forma paramétrica, podemos identificar seus vetores diretores como os coeficientes que acompanham seus parâmetros
. Isso significa que
é vetor diretor de
, e
é vetor diretor de
.
Aqui, recorrendo à fórmula do ângulo entre vetores:

podemos calcular o ângulo que estamos buscando.
Substituindo as coordenadas de 



b.
Vamos perceber que os vetores diretores dessas retas são
e
respectivamente.
O ângulo formado entre eles é determinado pela expressão



Encontre o ângulo formado pelas retas cujas equações são:
a.

b.

a.
Como primeiro passo, devemos encontrar os vetores diretores de cada uma das retas e, em seguida, calcular o ângulo entre eles. Isso nos dará o ângulo entre
e
.
Uma reta descrita em sua equação cartesiana
, tem como vetor diretor
. Então para
e
temos vetores diretores
e
.
O ângulo determinado entre esses dois vetores é dado pela fórmula:

Substituindo os vetores diretores que encontramos, vamos ter




b.
Neste caso, os vetores diretores das retas
e
são
e
.
Vamos observar que


Isso significa que o ângulo entre
e
é de 90º, pois a condição
é equivalente a que
.
Dadas as retas
e
, determine
para que formem um ângulo de
.
Sejam
e
os vetores diretores de
e
respectivamente, buscamos
de forma que

assim, a fórmula anterior nos ajuda a encontrar o ângulo entre duas retas.
Substituindo as coordenadas dos vetores directores e
, vamos obter

e elevando toda a equação ao quadrado



multiplicando por
toda a equação



Através da fórmula geral para equações ao quadrado

podemos resolver a equação anterior.
Vamos lembrar que
é o coeficiente do termo ao quadrado,
o coeficiente do termo linear e
o termo independente. Para o nosso caso, eles são determinados da seguinte maneira:

Portanto, usando a fórmula geral





Em seguida, obtemos que os possíveis valores para satisfazer a condição desejada são
e 
Uma reta é perpendicular a que tem como equação
e está distante
unidades da origem. Qual é a sua equação?
Para uma reta qualquer
, expressa em sua forma canónica

tem como coordenadas do seu vetor diretor
.
Por outro lado, sabemos que duas retas
são perpendiculares se os seus vetores diretores
são, ou equivalentemente se

onde
. No nosso caso, o vetor diretor de
é
.
Se chamamos de
a reta desejada, seguindo a condição do parágrafo anterior, deve-se obter que o vetor diretor de
tem como coordenadas
, e assim,
.
Por outro lado, vamos recordar que a distância de um ponto
a uma reta
é possível de encontrar através da fórmula

Se o ponto
resulta ser a origem, então a fórmula anterior vai ser reduzida a

Isso quer dizer que
deve satisfazer a condição

Vamos observar que realmente existe um par de retas, que têm uma distância de
em relação à origem e são paralelas entre si. É por isso que

E assim, as equações desse par de retas são dadas por
.
Exercícios avançados
Considerando o triângulo
; calcule as equações das alturas e determinar o ortocentro de um triângulo.

Como primeiro passo, vamos calcular as equações das alturas do triângulo definido. Vamos chamar
e
às equações das retas que passam pelos pontos
e
respectivamente.
Para
temos que
, isso significa que a inclinação
do segmento
multiplicada pela inclinação
de
deve dar como resultado 
Conhecendo as coordenadas dos pontos
e
podemos obter sua inclinação através da fórmula
. Portanto
e
Com as coordenadas de
,
e a forma ponto-inclinação, podemos deduzir a equação da reta é
. Então
é a equação que define
.
Simplificando esta última, temos que
.
Seguindo o mesmo raciocínio, podemos encontrar as equações restantes
Vamos começar pelas inclinações.


Em seguida, com a fórmula ponto-inclinação para 


e para 


Para encontrar as coordenadas do ortocentro basta encontrar a interseção de qualquer uma das duas alturas.
Resolvendo o sistema de equações lineares

encontramos que o ortocentro se encontra situado em 
Dado o triângulo
; calcule as equações das medianas e determinar o baricentro do triângulo.

Como primeiro passo, vamos calcular os pontos médios dos lados do triângulo definido. Vamos chamar de
aos pontos médios de
, respectivamente
,
,
,
Vamos calcular as equações das medianas do triângulo definido. Vamos chamar
e
às equações das medianas que passam pelos pontos
e
respectivamente.
Ao conhecer as coordenadas dos pontos
e
podemos obter sua inclinação através da fórmula
. Portanto



Com as coordenadas de
,
e a fórmula ponto-inclinação, podemos deduzir a equação da reta para
. Então
é a equação que define
.
Simplificando esta última, obtemos que
.
Seguindo o mesmo raciocínio, podemos encontrar as equações que faltam.
.
.
Para encontrar as coordenadas do baricentro, basta encontrar a interseção de quaisquer duas medianas.
Resolvendo o sistema de equações lineares

encontramos que o baricentro está localizado em 
Considerando o triângulo
; calcular as equações das mediatrizes e determinar o circuncentro do triângulo.

Como primeiro passo, calculemos os pontos médios dos lados do triângulo definido. Vamos chamar de
os pontos médios de
, respectivamente
,
,
,
Vamos calcular as equações das mediatrizes do triângulo definido. Vamos chamar
e
às equações das mediatrizes que passam pelos pontos médios
e
respectivamente.
Ao conhecer as coordenadas dos puntos
e
podemos obter a inclinação dos lados através da fórmula
e sabendo que a inclinação da sua perpendicular é o recíproco negativo da inclinação, vamos ter



Com as coordenadas de
,
e a forma ponto-inclinação, podemos deduzir a equação da reta para
. Então
é a equação que define
.
Simplificando esta última, temos que
.
Seguindo o mesmo raciocínio, podemos encontrar as equações restantes.
.
.
Para encontrar as coordenadas do circuncentro, é suficiente encontrar a interseção de quaisquer duas mediatrizes
Resolvendo o sistema de equações lineares

encontramos que o circuncentro está localizado em 
Uma reta com a equação
é mediatriz de um segmento
cujo extremo
tem as coordenadas
. Encontre as coordenadas do outro extremo.

Vamos chamar de
à equação que descreve a reta sobre a qual repousa o segmento
e o ponto
.
Note que, ao ser
mediatriz do segmento
se satisfaz com
, o que implica que
onde
e
são as inclinações respectivas das retas
e
.
Do raciocínio anterior obtemos que
, pois expressando
em sua forma equivalente
, sabemos que
.
Com a equação ponto-inclinação, podemos encontrar a equação que descreve a reta que passa pelo ponto
e tem inclinação
. Basta reduzir a expressão
e obter
.
Agora, vamos observar que
, o ponto de interseção entre
e
, Deve satisfazer ambas as equações, a que descrever
e
. É através deles que vamos encontrar as coordenadas de
, basta resolver o sistema de equações

Resolvendo o sistema, obtemos que as coordenadas do ponto
são
. Além disso,
é o ponto médio do segmento
, o que matematicamente significa que

onde
são as coordenadas de
respectivamente.
Igualando coordenada por coordenada, vamos obter que

Substituindo os valores que já conhecemos de
e
concluimos que

e assim

Portanto, o extremo
tem como coordenadas
.
Encontre o ponto simétrico
, do ponto
, com relação à reta 
Vamos chamar de
a equação que descreve a reta em que descansa o segmento
e o ponto
. Dadas nossas hipóteses, deve ser satisfeito que
, isso implica que
, onde
e
são as respectivas inclinações das retas.
e
.
Por outro lado, a equação de
em sua forma explícita é
, e desta maneira, a inclinação de
é simplemente o coeficiente que acompanha x, ou seja
. Com essa última parte, podemos concluir que
.
Com a equação ponto-inclinação, podemos encontrar a equação que descreve a reta que passa pelo ponto
e tem inclinação
. Basta reduzir a expressão a

e obter
.
Agora, vamos observar que
, o ponto de interseção entre
e
, deve satisfazer ambas equações: a que descreve
e
. É através deles que para encontrar as coordenadas de
, basta resolver o sistema de equações

Resolvendo o sistema, obtemos as coordenadas do ponto
são
. Além do mais,
é o ponto médio do segmento
,e em termos matemáticos, é equivalente a

donde
são as coordenadas de
respectivamente.
Igualando coordenada por coordenada, se obtém que

E substituindo os valores que já conhecemos de
e
se deduz que

e, assim

Portanto, o ponto simétrico
tem como coordenadas
.
Resumir com IA:








