Temas
O que é a mediana?
A mediana é o valor que ocupa o lugar central de todos os dados quando estes estão ordenados do menor para maior.
A mediana é representada por 
A mediana pode ser encontrada apenas para variáveis quantitativas.
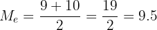
Exemplo de cálculo simples da mediana
1 Ordenamos os dados do menor para o maior.
2 Se a série tem um número ímpar de medidas, então a mediana é a pontuação central da mesma

3 Se a série tem um número par de pontuação, então a mediana é a média entre as duas pontuações centrais

Fórmula e cálculo da mediana para dados agrupados
A mediana se encontra no intervalo onde a frequência acumulada chega até a metade da soma das frequências absolutas.
Ou seja, temos que buscar o intervalo em que ela se encontra.
é o limite inferior da classe onde se encontra a mediana
é a semi-soma das frequências absolutas
é a frequência absoluta da classe mediana
é a frequência acumulada anterior à classe mediana
é a amplitude da classe
A mediana é independente das amplitudes dos intervalos
Exemplo de cálculo da mediana para uma distribuição estatística
Calcule a mediana de uma distribuição estatística que está dada na seguinte planilha:
![]() | |
|---|---|
![]() | ![]() |
![]() | ![]() |
![]() | ![]() |
![]() | ![]() |
![]() | ![]() |
Em primeiro lugar, criamos uma outra coluna com os valores da frequência acumulada:
Na primeira coluna, colocamos a primeira frequência absoluta. Na segunda coluna, somamos o valor da frequência acumulada anterior mais a frequência absoluta correspondente, e assim, sucessivamente, até a última que deve ser igual a 
![]() | ![]() | |
|---|---|---|
![]() | ![]() | ![]() |
![]() | ![]() | ![]() |
![]() | ![]() | ![]() |
![]() | ![]() | ![]() |
![]() | ![]() | ![]() |
![]() |
Procuramos o intervalo onde se encontra a mediana. Para isso dividimos
por
,pois a mediana é o valor central
Procuramos na coluna das frequências acumuladas
o intervalo que contém 
Classe da mediana: 
Aplicamos a fórmula para o cálculo da mediana para dados agrupados extraindo os seguintes dados:

Resumir com IA:






















