Temas
O cálculo da distância entre dois pontos é uma ferramenta essencial em diversos campos, desde a geometria até a navegação e a ciência de dados. Ele permite medir a separação entre dois locais em um espaço, seja em um plano bidimensional ou em um espaço tridimensional. Esse conceito de distância não é apenas fundamental na matemática, mas também possui aplicações práticas no dia a dia, como calcular a distância entre cidades em um mapa, determinar a proximidade entre objetos em um espaço tridimensional ou até mesmo avaliar semelhanças entre conjuntos de dados.
Seja explorando o mundo das coordenadas cartesianas no plano ou avançando para dimensões superiores, o cálculo da distância entre dois pontos oferece uma base sólida para entender relações espaciais e aplicar esses conhecimentos em diversas disciplinas. Vamos começar a medir distâncias e descobrir a importância desse conceito essencial!
Distância entre dois pontos
Para estudar a distância entre dois pontos, observe a seguinte figura.

Na figura, vemos dois pontos no plano cartesiano conectados por um vetor. A magnitude do vetor, destacado em vermelho, que liga esses pontos, representa o valor da distância entre os pontos A(x1,y1) e B(x2,y2).
Fórmula para calcular a distância entre dois pontos e o Teorema de Pitágoras
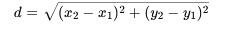
A fórmula para calcular essa magnitude é dada pela seguinte expressão:

Esse valor pode ser obtido usando o Teorema de Pitágoras. Para isso, considere o triângulo retângulo com os seguintes vértices: 



O comprimento da hipotenusa desse triângulo corresponde à distância entre os pontos 







O Teorema de Pitágoras estabelece que o valor da hipotenusa ou a distância entre 


Exemplos de distância entre dois pontos
Calcular a distância entre os pontos
Determine a distância entre A(2, ,1) e B(-3, 2.) = 
Determinar a condição para que dois pontos distem uma unidade
Se a distância entre A e B é igual a 1, então: 
Elevando ao quadrado para eliminar a raiz: 
Provar que os pontos pertencem a uma circunferência
Considere os pontos A (1, 7), B(4, 6) e C (1, -3) pertencem a uma circunferência de centro O (1, 2). Para que A, B e C pertençam à circunferência, as distâncias de O até esses pontos devem ser iguais. Isso pode ser verificado utilizando a fórmula da distância. Confira o cálculo a seguir: 
Classificar o triângulo determinado pelos pontos: A(4, -3), B(3, 0) e C(0, 1)
Primeiro, vamos calcular as distâncias entre os pontos do triângulo para classificá-lo:



Uma vez que, 
Portanto:
Quando 
Se 
se 
Sendo assim, observe este exemplo:

Esse é o gráfico de um triângulo obtusângulo:

Resumir com IA:








